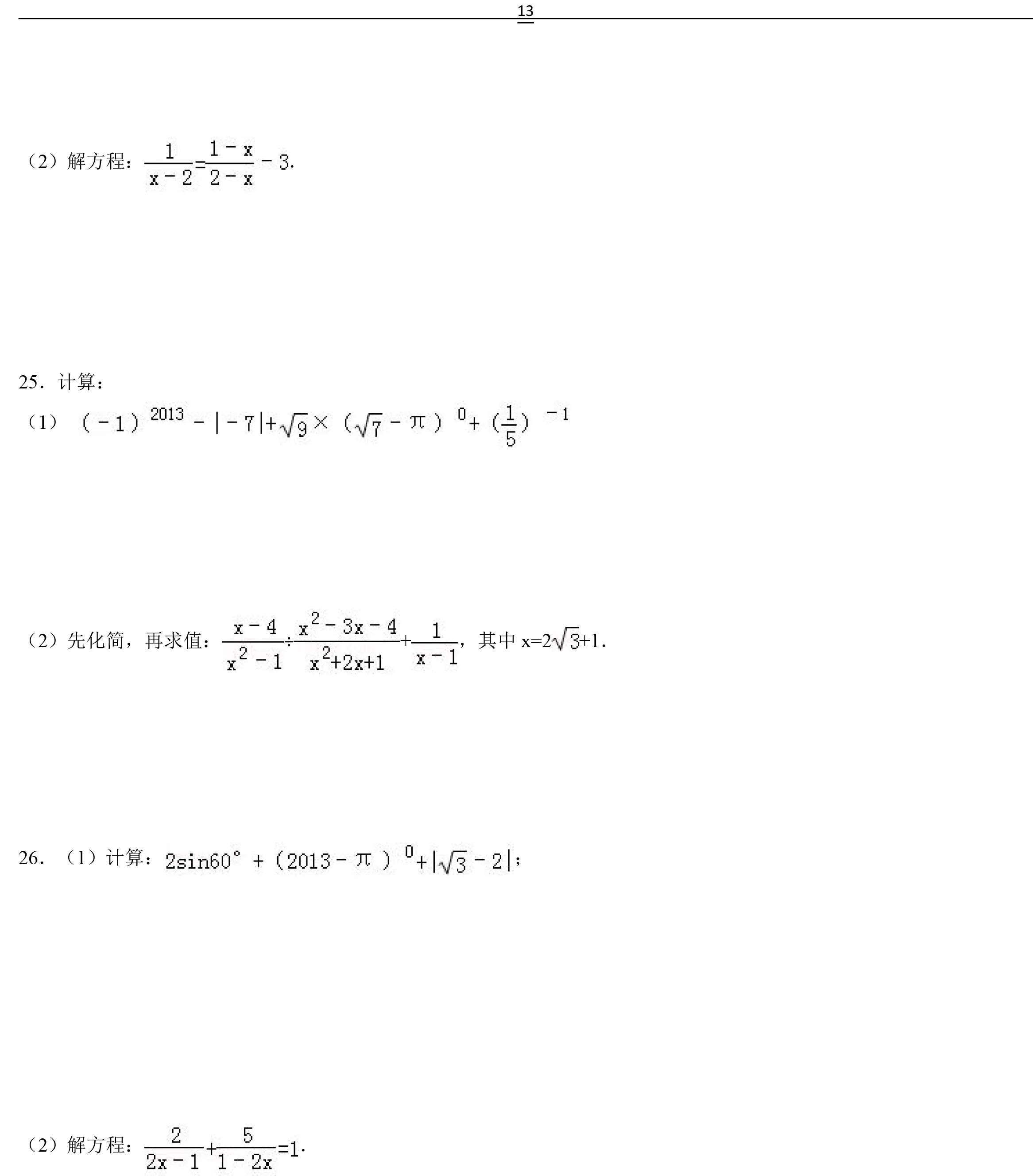
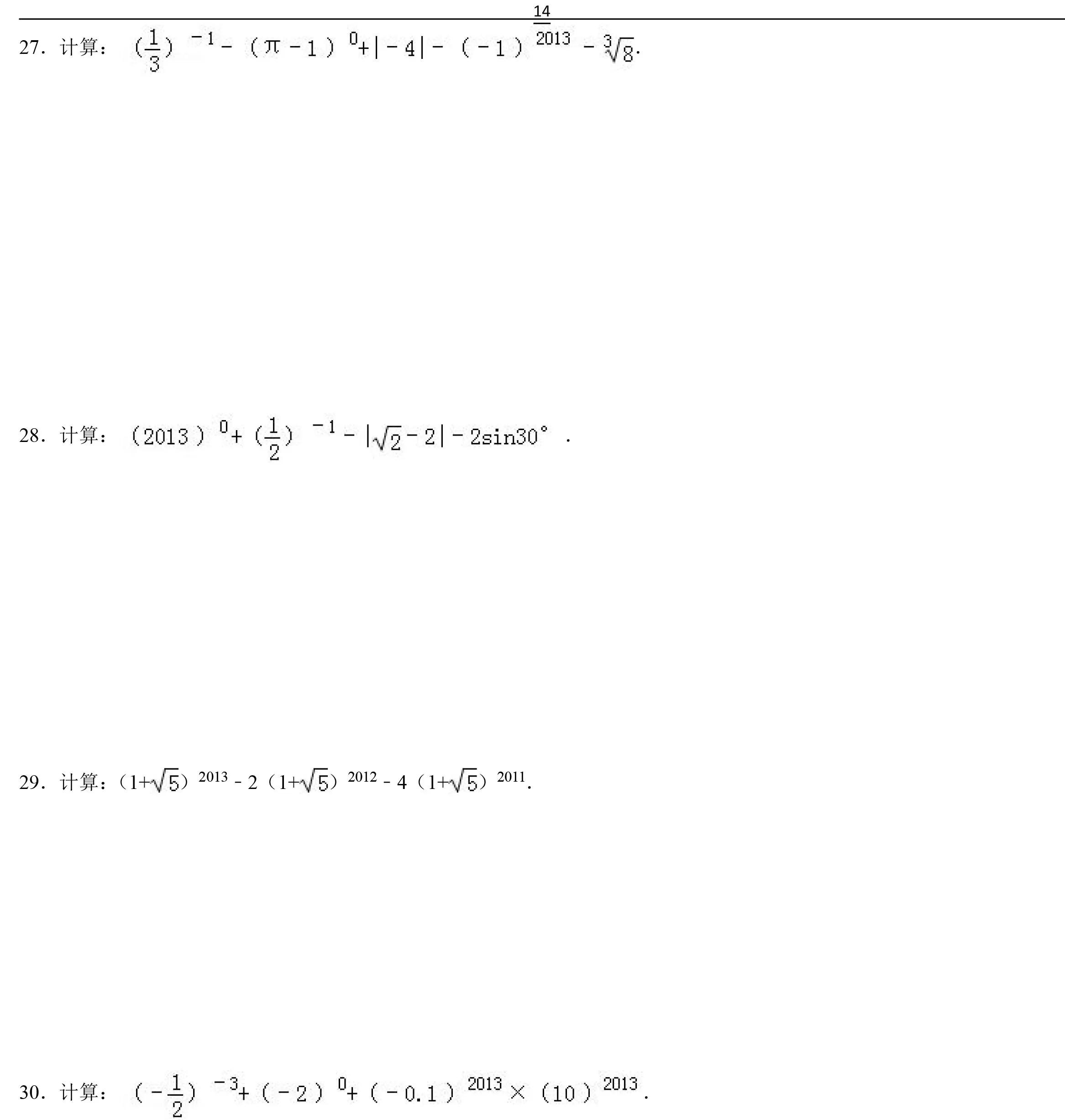
初中数学计算题练习30题(含答案解析)
2025-12-08 18:14 来源:网络 点击:
初中数学计算题练习30题(含答案解析)

















相关标签:
-
- 唐宋八大家
-
2025-12-08 18:12:15
-
- 能把人迷的晕头转向的蒋依依,除了美还是美,五官精致,摇曳生姿
-
2025-12-08 18:09:59
-
- 广西北海银滩的房子值得买吗
-
2025-12-08 18:07:44
-
- 2018年324世界防治结核病日主题和海报发布!
-
2025-12-08 18:05:29
-
- 种田文|《穿越之家有小夫郎》《独宠冲喜夫郎》《农家子宠夫记》
-
2025-12-08 18:03:14
-
- 中国内地38家宜家商场分布以及首店入驻时间
-
2025-12-08 15:43:58
-
- 这是吸毒前后真实的面貌差异
-
2025-12-08 15:41:43
-
- 校园类好文书单,女主或男主学霸文,救赎甜文以及女追男甜文
-
2025-12-08 11:46:29
-
- 天黑了,摆摊吧!河津划分免费摊位
-
2025-12-08 11:44:14
-
- 泰安新泰市新领导班子产生
-
2025-12-08 11:41:59
-
- 台湾杂记3:台湾的空军,你了解多少
-
2025-12-08 11:39:44
-
- 山西太原文瀛公园
-
2025-12-08 11:37:29
-
- 军官=公务员?或许该了解一下转业的含义所在
-
2025-12-08 11:35:14
-
- 扶苏的生母是谁
-
2025-12-08 11:32:59
-
- 防止泳镜起雾的有效方法
-
2025-12-08 11:30:44
-
- 除夕夜,发朋友圈的走心句子
-
2025-12-08 11:28:29
-
- 2023年各省人均GDP排名:北京仅差台湾2.2万元,甘肃全国倒数第一
-
2025-12-08 11:26:14
-
- 山东省监察官工资套改何时到位?
-
2025-12-08 07:31:02
-
- 牟山水库
-
2025-12-08 07:28:47
-
- 李由:秦汉时期的一位著名人物
-
2025-12-08 07:26:32



otc是什么意思(OTC是什么意思?深入解析OTC市场)
galgame鉴赏:十二魔器之一 重口猎奇作《解体插入新书》
ky是什么梗?ky到底是什么意思?
28位短剧型男,其中最高的192cm,真的是又高又帅又会演!
唐朝刺史是几品?唐朝刺史相当于现在什么官
难得的好小品演员,黄杨 在饭米粒儿中饰演黄小黄
略备薄酒还是略备薄宴 略备薄酒以小酌的意思
玉化砗磲手串一般多少钱?这份价格清单请收好
机械制图基础知识:圆弧、圆弧连接及其正确画法
张云雷为什么是回族 张云雷的回族名字叫什么