数学新思维:你知道欧拉是如何发现自然常数e的吗?
数学新思维:你知道欧拉是如何发现自然常数e的吗?
自然常数的发现是数学上的一个奇迹,它的主要贡献者就是大数学家欧拉,如下是欧拉发现自然常数e的过程,
a大于1时,a的幂随a的增加而增加,且a^0=1,当是无穷小时,即几乎处处等于0时,我们有

ψ是无穷小,当ψ不是无穷小时,就不是无穷小,这说明了和ψ存在一定的关系,我们令ψ=kω,得到


以a为底的对数得到:

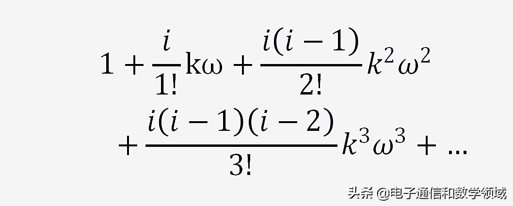
我们将上式a^ω=kω+1变形得到:它对任何i都成立

将上式二项式展开得到

如果令i=z/ω,且当ω为无穷小时,i为无穷大时,那么z=iω就是一个有限数,我们将ω用z/i来代替。这时就得到,这里的k如前面所述的,是一个确定的依赖于a的数

当i是无穷大时,即i大于任何给定的数,则我们就得到

我们将上述结论带入a^z的表达式,就得到

这个等式表示了a与k之间的关系,事实上,如果令z=1,我们得到

我们选取a使得k=1,那么就得到我们常用的自然常数e的无穷级数形式

-
- 如何保持平常心
-
2026-04-02 05:01:00
-
- 钱学森的夫人到底有多美?看完这些真实照片揭密钱学森夫人的风采
-
2026-04-02 04:58:45
-
- 女哥手——容祖儿
-
2026-04-02 04:56:31
-
- 宁波一工厂着火浓烟滚滚 目击者:着了至少3个小时了 消防仍在灭火
-
2026-04-02 04:54:17
-
- 快救救小女孩!网传广西一小女孩常坐在光棍怀里,光棍摸女孩屁股
-
2026-04-02 04:52:02
-
- 今年首批候鸟北归抵达兴凯湖 监测到珍稀鸟类虎头海雕
-
2026-04-02 04:49:48
-
- 结核流行广泛,控制从我做起——陈仓职教中心预防肺结核主题班会
-
2026-04-02 04:47:34
-
- 鐨栫睄鐢峰瓙鍦ㄦ掣鍒跺敭鏂板瀷鈥滄繁姘寸偢寮光€濓紝琚姄
-
2026-04-02 04:46:05
-
- 高畑充希短发新形象演出社长!《胡闹乱来!我竟然当上社长》将播
-
2026-04-02 04:45:19
-
- 上海仰邦成功挂牌 LED显示屏行业再添新三板生力军
-
2026-04-02 04:43:50
-
- 贩卖焦虑:积极还是消极?
-
2026-04-02 04:43:05
-
- 山西吕梁一个单字县,两条高速公路交汇,拥有碛口风景区
-
2026-04-02 04:41:36
-
- 人文经济再提速!大沥“新春六大盛景”全面收官
-
2026-04-02 04:39:22
-
- 汉服美少女,可爱至极,美图送给您,希望您喜欢!(壁纸美图)
-
2026-04-02 04:37:08
-
- 8月1日起瓦屋山景区恢复营业:每日限流3500人,需提前预定购票
-
2026-04-02 04:34:53
-
- 中印边境对峙事件
-
2026-04-02 04:32:39
-
- 中建八局王牌公司总经理调整
-
2026-04-02 04:30:25
-
- 线上线下齐推广 侗乡三江旅游火
-
2026-04-02 04:28:10
-
- 线上线下齐推广 侗乡三江旅游火
-
2026-04-02 04:25:56
-
- 郁方家中惊见小小壁虎!求救「越来越大只」…网急劝:养起来
-
2026-04-01 08:07:08



otc是什么意思(OTC是什么意思?深入解析OTC市场)
galgame鉴赏:十二魔器之一 重口猎奇作《解体插入新书》
二审之后, 文强终于交代了自己睡过的12个女明星, 当红主持人在列
没打马赛克的科比遗骨图,科比1米98身高被烧成1米53
19本女主寄养男主家、甜宠养成文推荐!
快看!全球最美黑人女星TOP榜
“最美丈母娘”赵柯的坎坷成名史,和她的心酸情史
耽:三部非常经典的京味高干文,腹黑攻vs软糯受,第一部最精彩!
《青涩的体验》:深刻描述了青春期的微妙情感