重力加速度公式是什么(重力加速度是什么?它是常数吗?)
重力加速度公式是什么(重力加速度是什么?它是常数吗?)
重力加速度通常指地面附近物体受地球引力作用在真空中做自由落体运动的加速度,记为g,其近似值通常取为9.8米/秒的平方。从初中开始,我们就接触这个物理量,感觉就是和π一样,就是个常数而已,真的如此简单吗?

我们先来看一下重力加速度与什么有关?假设一个质量为m的质点与一质量为M的均匀球体的球心距离为r时,质量所受的重力大小约等于两物体间的万有引力,为:F=GMm/(r的平方)其中G为引力常数。根据牛顿第二定律F=ma=mg,可得重力加速度g=GM/(r的平方)
可见重力加速度与两个因素有关,一是重力的施力物体的质量,二是受力物体到施力物体质心的距离。
昨天我们已经根据g=GM/(r的平方),地表的重力加速度大一些,高空的重力加速度小一些。今天让我们把这个问题继续深入或者更真实的聊一聊。首先,我们假设球体的半径为R。分几种情况:
(一)如果r>R,那么地表的重力加速度大一些,高空的重力加速度小一些。
(二)如果r<R,那么r处的重力加速度会怎样呢?注意均匀球体内部某点的万有引力只与该点与球心连线做半径的部分球体有关,类似高斯定理(有兴趣的小伙伴可以百度)。所以根据g=GM/(r的平方)和此时的有效球体质量(m)为密度与有效球体体积的乘积,所以m=(M/(4πR的立方/3))(4πr的立方/3),所以g=(GM/R的立方)r,可见在球体内部随着r的变化,重力加速度呈线性变化。
(三)特殊情况的重力加速度
特殊情况的重力加速度其实是特殊情况万有引力的变形,无非两种方法补全法和分割法。
补全法:(主要考察方法)适用于不规则物体缺失部分为规则几何体,且补全后也变成规则几何体的情况。如下图

有一质量为M,半径为R的密度均匀球体,在距离球心O为R的地方有一质量为m的质点,现从M中挖去一半径为R/2,质量为m1的球体,如图所示,求剩下部分对m的万有引力F为多大?
用补全法解决:把挖去的部分补回去,重新形成一个规则的,且质量均匀的几何体。补全之后,整个球体对质点的万有引力=剩下部分(蓝色部分)对质点的万有引力+补上去部分(灰色部分)对质点的万有引力。
显然,整个球体对质点的万有引力为直接应用万有引力定律直接计算的,补上去部分(灰色部分)也可以直接应用万有引力定律计算的,二者相减就可以知道剩下不规则部分对质点的万有引力了。
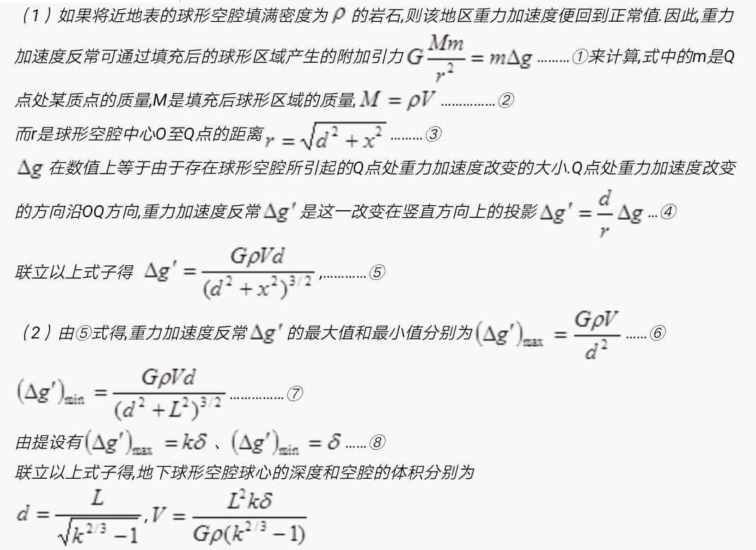
进而演变成高考题。如图,P、Q为某地区水平地面上的两点,在P点正下方一球形区域内储藏有石油,假定区域周围岩石均匀分布,密度为 肉ρ ;石油密度远小于ρ ,可将上述球形区域视为空腔。如果没有这一空腔,则该地区重力加速度(正常值)沿竖直方向;当存在空腔时,该地区重力加速度的大小和方向会与正常情况有微小偏高。重力加速度在原坚直方向(即PO方向)上的投影相对于正常值的偏离叫做“重力加速度反常”。为了探寻石油区域的位置和石油储量,常利用P点附近重力加速度反常现象。已知引力常数为G。

(1)设球形空腔体积为V,球心深度为d(远小于地球半径),PQ =x,求空腔所引起的Q点处的重力加速度反常
(2)若在水平地面上半径L的范围内发现:重力加速度反常值在 与 (k>1)之间变化,且重力加速度反常的最大值出现在半为L的范围的中心,如果这种反常是由于地下存在某一球形空腔造成的,试求此球形空腔球心的深度和空腔的体积。

这是标准答案,但是这个答案也交代清楚补全法的应用,但你有疑惑吗?我想最大的
2、分割法(次要考察方法)
分割法则适合用于形状不规则,但可分割为几个规则几何物体的不规则物体。(由于分割法较为复杂,且考察的情况较少,在这里不做详细的展开。)
-
- 大发雷霆的意思(大发雷霆的意思随心所欲的意思)
-
2023-12-21 00:52:37
-
- 仰天大笑出门去我辈岂是蓬蒿人(仰天大笑出门去我辈岂是蓬蒿人表达了什么)
-
2023-12-21 00:50:32
-
- 薛仁贵怎么死的(薛仁贵儿子为什么射死他)
-
2023-12-21 00:48:27
-
- 新手机电池如何充电(新手机电池如何充电好?)
-
2023-12-21 00:46:22
-
- 农行客户端证书(农商银行手机银行证书下载)
-
2023-12-21 00:44:17
-
- 宫锁珠帘分集剧情介绍(宫锁珠帘分集剧情介绍电视猫)
-
2023-12-21 00:42:12
-
- q币赠送(q币赠送好友方法教程)
-
2023-12-21 00:40:07
-
- 马拉松训练方法(马拉松训练方法有哪些)
-
2023-12-21 00:38:02
-
- 空灵是什么意思(深沉空灵是什么意思)
-
2023-12-21 00:35:57
-
- 监控摄像头安装图(监控摄像头安装图解)
-
2023-12-21 00:33:52
-
- 正宗湖笔是哪里生产的 湖笔何以名满天下?
-
2023-12-18 23:34:50
-
- 怎样减大象腿最有效(大腿赘肉多?6个动作帮你减掉大象腿,让双腿变修长)
-
2023-12-18 23:32:45
-
- 农历和公历的区别在哪里(阳历、阴历、农历的区别,这一次终于搞清楚了!)
-
2023-12-18 23:30:40
-
- 辣椒油怎么洗掉最简单方法(衣服沾上辣椒油,用这方法轻松洗掉,就是如此简单
-
2023-12-18 23:28:35
-
- 桂枝的功效 用好这味药,调理全身气机
-
2023-12-18 23:26:30
-
- 该怎么挽回一段感情?该怎么做?
-
2023-12-18 23:24:25
-
- 百香果怎么种植?记住5个“要点”,一盆挂果几十个,又大又甜
-
2023-12-18 23:22:20
-
- 子宫附件囊肿 子宫附件囊肿是什么?子宫附件囊肿的特点又有哪些!
-
2023-12-18 23:20:15
-
- 治疗宫颈糜烂的最好方法 宫颈糜烂能治好吗?
-
2023-12-18 23:18:11
-
- 养龙虾技术,这一些要了解
-
2023-12-18 23:16:05



40岁女人最想要的16种礼物(40岁女人性生活几天一次算正常)
女人的阴毛有什么作用?女性的12种阴毛类型
消失的夫妻4人详细真实笔录知乎002 消失的夫妻4人详细真实笔录知乎图片
8开纸和a4纸图片对比,8K和A4纸有什么区别哪个大
说女的沙什么意思 分手说沙什么意思
两位领导的座位安排怎么排 两名领导座次应该怎样安排
抖音私密账号是什么?看完这篇就知道了!
国际标准视力表(国际标准视力表近视力检查距离)
80后100款经典街机游戏名字(街机游戏合集10000合一)
手机漏液20秒修复是怎么回事(手机漏液20秒修复是怎么回事儿)