混凝土轻骨料检测方法(轻骨料混凝土应用技术标准)
混凝土轻骨料检测方法(轻骨料混凝土应用技术标准)
1 总 则
1.0.1 为规范轻骨料混凝土的工程应用,确保轻骨料混凝土工程质量,做到技术先进、安全可靠、经济合理,制定本标准。
1.0.2 本标准适用于轻骨料混凝土的配合比设计、生产、结构设计、施工、质量检验和验收。
1.0.3 轻骨料混凝土的应用除应符合本标准规定外,尚应符合国家现行有关标准的规定。
2 术语和符号2.1 术 语
2.1.1 轻骨料混凝土 lightweight aggregate concrete
用轻粗骨料、轻砂或普通砂、胶凝材料、外加剂和水配制而成的干表观密度不大于1950kg/m3的混凝土。
2.1.2 轻骨料混凝土结构 lightweight aggregate concrete structure
以轻骨料混凝土为主制成的结构,包括轻骨料素混凝土结构、钢筋轻骨料混凝土结构和预应力轻骨料混凝土结构等。
2.1.3 全轻混凝土 full lightweight aggregate concrete
用轻砂做细骨料配制而成的轻骨料混凝土。
2.1.4 砂轻混凝土 sand lightweight concrete
由普通砂或普通砂中掺加部分轻砂做细骨料配制而成的轻骨料混凝土。
2.1.5 大孔轻骨料混凝土 hollow lightweight aggregate concrete
用轻粗骨料、水泥、矿物掺合料、外加剂和水配制而成的无砂或少砂的混凝土。
2.1.6 混凝土干表观密度 dry apparent density of concrete
硬化后的轻骨料混凝土单位体积的烘干质量。
2.1.7 混凝土湿表观密度 apparent density of fresh concrete
轻骨料混凝土拌合物经振实后单位体积的质量。
2.1.8 净用水量 net water content
轻骨料混凝土拌合物中不包括轻骨料吸水量的用水量。
2.1.9 总用水量 total water content
轻骨料混凝土拌合物中净用水量和轻骨料吸水量的总和。
2.1.10 附加水量 additional water content
采用未预湿的轻骨料制备轻骨料混凝土拌合物过程中,轻骨料吸入的与规定时间吸水率相应的水量。
2.1.11 净水胶比 net water-binder ratio
净用水量与胶凝材料用量之比。
2.1.12 体积砂率 volume rate of sand
细骨料体积与粗细骨料总体积之比。
2.1.13 松散体积法 loose volume method
设定每立方米轻骨料混凝土的粗、细骨料松散堆积总体积来计算粗、细骨料各自松散堆积体积的轻骨料混凝土配合比计算方法。
2.1.14 绝对体积法 absolute volume method
按每立方米轻骨料混凝土的绝对体积等于各组成材料的绝对体积之和进行轻骨料混凝土配合比计算的方法。
2.2 符 号
2.2.1 热工系数
ac——轻骨料混凝土在平衡含水率状态下的导温系数;
ad——轻骨料混凝土在干燥状态下的导温系数;
aT——轻骨料混凝土的温度线膨胀系数;
Cc——轻骨料混凝土在平衡含水率状态下的比热容;
Cd——轻骨料混凝土在干燥状态下的比热容;
Sc24——轻骨料混凝土在平衡含水率状态下周期为24h的蓄热系数;
Sd24——轻骨料混凝土在干燥状态下周期为24h的蓄热系数;
λc——轻骨料混凝土在平衡含水率状态下的导热系数;
λd——轻骨料混凝土在干燥状态下的导热系数。
2.2.2 力学性能指标
ELC——轻骨料混凝土的弹性模量;
fck——轻骨料混凝土轴心抗压强度标准值;
fcu,0——轻骨料混凝土配制强度;
fcu,k——轻骨料混凝土立方体抗压强度标准值;
ftk——轻骨料混凝土轴心抗拉强度标准值;
GLC——轻骨料混凝土的剪切变形模量;
mfcu——n组试件的立方体抗压强度平均值;
σ——轻骨料混凝土强度标准差。
2.2.3 配合比参数
ma——每立方米轻骨料混凝土的粗骨料用量;
mb——每立方米轻骨料混凝土中胶凝材料用量;
mc——每立方米轻骨料混凝土的水泥用量;
mf——每立方米轻骨料混凝土中矿物掺合料用量;
ms——每立方米轻骨料混凝土的细骨料用量;
mwa——每立方米轻骨料混凝土的附加水量;
mwn——每立方米轻骨料混凝土的净用水量;
mwt——每立方米轻骨料混凝土的总用水量;
Va——每立方米轻骨料混凝土的粗骨料绝对体积;
Valb——每立方米轻骨料混凝土的粗骨料松散堆积的体积;
Vs——每立方米轻骨料混凝土的细骨料绝对体积;
Vslb——每立方米轻骨料混凝土的细骨料松散堆积的体积;
Vtlb——每立方米轻骨料混凝土的粗、细骨料松散堆积的总体积;
W/B——水胶比;
βf——矿物掺合料掺量;
βs——松散体积砂率;
δ——配合比设计的校正系数。
2.2.4 密度
ρalb——粗骨料的堆积密度;
ρslb——细骨料的堆积密度;
ρap——粗骨料的表观密度;
ρd——轻骨料混凝土的干表观密度。
2.2.5 吸水率
ωa——轻粗骨料1h吸水率;
ωs——轻砂1h吸水率;
ωsat——轻骨料混凝土的饱和吸水率。
2.2.6 其他
LC——轻骨料混凝土强度等级符号;
ψs——轻骨料混凝土的软化系数。
3 基本规定
3.0.1 轻骨料混凝土的强度等级应划分为:LC5.0、LC7.5、LC10、LC15、LC20、LC25、LC30、LC35、LC40、LC45、LC50、LC55、LC60。
3.0.2 轻骨料混凝土制备宜采用预拌生产方式,预拌轻骨料混凝土应符合现行国家标准《预拌混凝土》GB/T 14902的规定。
3.0.3 轻骨料混凝土结构设计应与现行国家标准《混凝土结构设计规范》GB 50010配套执行。
3.0.4 轻骨料混凝土结构设计应采用极限状态设计法,以可靠指标度量结构构件的可靠度,采用分项系数的设计表达式进行设计。
3.0.5 轻骨料混凝土结构的抗震设计应符合现行国家标准《建筑抗震设计规范》GB 50011和《混凝土结构设计规范》GB 50010的有关规定。轻骨料混凝土结构耐久性设计应符合现行国家标准《混凝土结构设计规范》GB 50010的规定。
4 材 料4.1 原材料及钢筋
4.1.1 水泥应符合下列规定:
1 硅酸盐水泥、普通硅酸盐水泥、矿渣硅酸盐水泥、火山灰质硅酸盐水泥、粉煤灰硅酸盐水泥和复合硅酸盐水泥应符合现行国家标准《通用硅酸盐水泥》GB 175的规定;
2 通用硅酸盐水泥以外其他品种的水泥应符合国家现行相应标准的规定。
4.1.2 轻粗骨料和轻细骨料应符合下列规定:
1 人造轻骨料、天然轻骨料和工业废渣轻骨料应符合现行国家标准《轻集料及其试验方法 第1部分:轻集料》GB/T 17431.1的规定;
2 膨胀珍珠岩应符合现行行业标准《膨胀珍珠岩》JC 209的规定;
3 泵送轻骨料混凝土用轻粗骨料的密度等级不宜低于600级,并应采用连续级配。公称最大粒径不宜大于25mm;轻细骨料的密度等级不宜低于700级;
4 有抗震设防要求的轻骨料混凝土结构构件,其轻骨料的强度标号不宜低于30。
4.1.3 轻骨料混凝土用河砂和人工砂应符合现行行业标准《普通混凝土用砂、石质量及检验方法标准》JGJ 52的规定。
4.1.4 轻骨料混凝土用水应符合现行行业标准《混凝土用水标准》JGJ 63的规定。未经处理的海水不应用于轻骨料混凝土结构中混凝土的拌制和养护。
4.1.5 矿物掺合料应符合下列规定:
1 粉煤灰应符合现行国家标准《用于水泥和混凝土中的粉煤灰》GB/T 1596的规定;磨细粉煤灰应符合现行国家标准《矿物掺合料应用技术规范》GB/T 51003的规定;
2 粒化高炉矿渣粉应符合现行国家标准《用于水泥、砂浆和混凝土中的粒化高炉矿渣粉》GB/T 18046的规定;
3 钢渣粉应符合现行国家标准《用于水泥和混凝土中的钢渣粉》GB/T 20491的规定;
4 磷渣粉应符合现行国家标准《用于水泥和混凝土中的粒化电炉磷渣粉》GB/T 26751的规定;
5 硅灰应符合现行国家标准《砂浆和混凝土用硅灰》GB/T 27690的规定;
6 石灰石粉应符合国家现行标准《石灰石粉混凝土》GB/T 30190和《石灰石粉在混凝土中应用技术规程》JGJ/T 318的规定;
7 复合掺合料应符合现行行业标准《混凝土用复合掺合料》JG/T 486的规定。
4.1.6 外加剂应符合现行国家标准《混凝土外加剂》GB 8076的规定。
4.1.7 用于轻骨料混凝土结构的普通钢筋、预应力筋及其性能指标应符合现行国家标准《混凝土结构设计规范》GB 50010的规定。
4.2 轻骨料混凝土性能
4.2.1 轻骨料混凝土的强度等级应按立方体抗压强度标准值确定。立方体抗压强度标准值应按标准方法制作并养护的边长为150mm的立方体试体,在28d龄期或设计规定龄期以标准试验方法测得的具有95%保证率的抗压强度值。
4.2.2 轻骨料混凝土的密度等级及其理论密度取值应符合表4.2.2的规定。配筋轻骨料混凝土的理论密度也可根据实际配筋情况确定,但不应低于表4.2.2的规定值;对蒸养后即行起吊的预制构件,吊装验算时,其理论密度取值应增加100kg/m3。
表4.2.2 轻骨料混凝土的密度等级及其理论密度取值

4.2.3 结构用轻骨料混凝土应采用砂轻混凝土。轻骨料混凝土结构的混凝土强度等级不应低于LC20;采用强度等级400MPa及以上的钢筋时,轻骨料混凝土的强度等级不应低于LC25;预应力轻骨料混凝土结构的混凝土强度等级不宜低于LC40,且不应低于LC30。
4.2.4 有抗震设防要求的轻骨料混凝土结构构件的轻骨料混凝土强度等级应符合下列规定:
1 抗震设防烈度不低于8度时,不宜超过LC50;
2 一级抗震等级的结构构件,轻骨料混凝土强度等级不应低于LC25;对二、三、四级抗震等级的结构构件,轻骨料混凝土强度等级不应低于LC20。
4.2.5 结构用人造轻骨料混凝土的轴心抗压、轴心抗拉强度标准值fck、ftk应按表4.2.5采用。轴心抗拉强度标准值,对自燃煤矸石混凝土应按表4.2.5中数值乘以系数0.85,对火山渣混凝土应按表4.2.5中数值乘以系数0.80。

4.2.6 结构用人造轻骨料混凝土轴心抗压、轴心抗拉强度设计值fc、ft应按表4.2.6采用。并应符合下列规定:
1 计算现浇钢筋轻骨料混凝土轴心受压及偏心受压构件时,对于截面的长边或直径小于300mm的构件,表4.2.6中轻骨料混凝土的强度设计值应乘以系数0.80。
2 轴心抗拉强度设计值,用于承载能力极限状态计算时,对自燃煤矸石混凝土应按表4.2.6中数值乘以系数0.85,对火山渣混凝土应按表4.2.6中数值乘以系数0.80;用于构造计算时,应按表4.2.6取值。

4.2.7 结构用轻骨料混凝土的弹性模量ELC可按表4.2.7取值。当有可靠试验依据时,弹性模量ELC也可根据实测数据确定。

4.2.8 结构用轻骨料混凝土的剪切变形模量GLC可按下式计算:

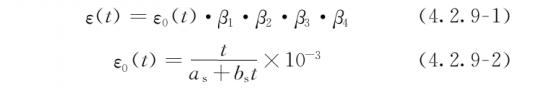
4.2.9 结构用轻骨料混凝土的收缩值可按下列公式计算,且设计、施工的控制目标值取值不应大于表4.2.9-1的规定值。

式中:ε(t)——结构用轻骨料混凝土的收缩值:
ε0(t)——结构用轻骨料混凝土随龄期变化的收缩值;
t——龄期(d);
β1、β2、β3、β4——结构用轻骨料混凝土的收缩值修正系数,可按表4.2.9-2取值;
as、bs——计算参数,当初始测试龄期为3d时,as取78.69,bs取1.20;当初始测试龄期为28d时,as取120.23,bs取2.26。
表4.2.9-1 不同龄期的收缩值

表4.2.9-2 收缩值与徐变系数的修正系数

4.2.10 结构用轻骨料混凝土的徐变系数可按下列公式计算,且设计、施工的控制目标值取值不应大于表4.2.10的规定值。


式中:φ(t)——结构用轻骨料混凝土的徐变系数;
φ0(t)——结构用轻骨料混凝土随持荷时间变化的徐变系数;
ξ1、ξ2、ξ3、ξ4、ξ5——结构用轻骨料混凝土徐变系数的修正系数,可按表4.2.9-2取值;
n、ac、bc——计算参数,当加荷龄期为28d时,n取0.6,ac取4.520,bc取0.353。
表4.2.10 不同持荷时间的徐变系数

4.2.11 轻骨料混凝土耐久性能应符合下列规定:
1 轻骨料混凝土的碳化性能应符合表4.2.11-1的规定,并应满足设计要求。
表4.2.11-1 轻骨料混凝土的碳化性能

注:1 正常湿度系指相对湿度为55%~65%;
2 潮湿系指相对湿度为65%~80%;
3 28d碳化深度是采用现行国家标准《普通混凝土长期性能和耐久性能试验方法标准》GB/T 50082中碳化试验方法的试验结果。
2 轻骨料混凝土的抗冻性能应符合表4.2.11-2的规定,并应满足设计要求。
表4.2.11-2 轻骨料混凝土的抗冻性能

3 轻骨料混凝土的抗渗、抗硫酸盐腐蚀、抗氯离子渗透等耐久性能应满足设计要求。
4.2.12 轻骨料混凝土拌合物性能应满足施工要求,并应符合下列规定:
1 轻骨料混凝土拌合物坍落度和扩展度的允许偏差应符合表4.2.12-1的规定。
表4.2.12-1 轻骨料混凝土拌合物坍落度和扩展度的允许偏差

2 泵送轻骨料混凝土坍落度经时损失不宜大于30mm/h。
3 轻骨料混凝土拌合物不应离析,轻骨料不应明显上浮。
4 轻骨料混凝土拌合物的凝结时间应满足施工要求和混凝土性能要求。
5 轻骨料混凝土拌合物中水溶性氯离子最大含量应符合表4.2.12-2的规定。
表4.2.12-2 轻骨料混凝土拌合物中水溶性氯离子最大含量

4.2.13 轻骨料混凝土的泊松比可取0.2。
4.2.14 当温度在0℃~100℃范围内时,轻骨料混凝土的温度线膨胀系数可取7×10-6/℃~10×10-6/℃,低密度等级者宜取较低值,高密度等级者宜取较高值。
4.2.15 轻骨料混凝土在干燥条件下和在平衡含水率条件下的各种热物理系数计算值应符合表4.2.15的规定。
表4.2.15 轻骨料混凝土的热物理系数

续表4.2.15

注:1 轻骨料混凝土的体积平衡含水率取6%;
2 膨胀矿渣珠混凝土的导热系数按表列数值降低25%取用或通过试验确定。
5 配合比设计5.1 一般要求
5.1.1 轻骨料混凝土配合比设计应符合配制强度、密度、拌合物性能、耐久性能的规定,并应满足设计对轻骨料混凝土的其他性能要求。
5.1.2 轻骨料混凝土配合比设计应采用工程实际使用的原材料,并应以合理使用材料和节约水泥等胶凝材料为原则。
5.1.3 轻骨料混凝土配合比中的轻粗骨料宜采用同一品种的轻骨料;当掺用另一品种轻粗骨料时,其掺用比例应通过试验确定。
5.1.4 在轻骨料混凝土中加入外加剂和矿物掺合料时,应符合下列规定:
1 外加剂的品种和掺量应通过试验确定,与水泥等胶凝材料的适应性应满足设计与施工对混凝土性能的要求;
2 矿物掺合料的品种和掺量应通过试验确定。
5.1.5 大孔轻骨料混凝土的配合比设计应符合本标准附录A的规定。
5.2 配制强度的确定
5.2.1 轻骨料混凝土配制强度应按下式计算:

式中:fcu,0——轻骨料混凝土配制强度(N/mm2);
fcu,k——轻骨料混凝土立方体抗压强度标准值(N/mm2),取混凝土的设计强度等级值;
σ——轻骨料混凝土强度标准差(N/mm2)。
5.2.2 轻骨料混凝土强度标准差应按下列规定确定:
1 当具有3个月以内的同一品种、同一强度等级的轻骨料混凝土强度资料,且试件组数不小于30组时。其轻骨料混凝土强度标准差σ应按下式计算:

式中:σ轻骨料混凝土强度标准差(N/mm2);
fcu,i——第i组的试件强度(N/mm2);
mfcu——n组试件的强度平均值(N/mm2);
n——试件组数。
2 当没有近期的同一品种、同一强度等级的轻骨料混凝土强度资料或当采用非统计方法评定强度时,轻骨料混凝土强度标准差σ可按表5.2.2取值。
表5.2.2 轻骨料混凝土强度标准差σ取值

5.3 耐久性能和长期性能要求
5.3.1 轻骨料混凝土配合比设计应将工程设计文件提出的耐久性能和长期性能要求作为设计目标;工程设计文件未提出轻骨料混凝土耐久性能要求时,轻骨料混凝土配合比设计应结合工程具体情况根据现行国家标准《混凝土结构耐久性设计规范》GB/T 50476中对混凝土耐久性能的要求作为设计目标。
5.3.2 在配合比设计过程中,应经试验确定轻骨料混凝土配合比是否符合耐久性能和长期性能的规定;预拌轻骨料混凝土耐久性能的配合比设计应符合本标准第5.3.3条~第5.3.7条的规定。
5.3.3 具有抗裂要求的轻骨料混凝土配合比设计宜符合下列规定:
1 净水胶比不宜大于0.50,宜采用聚羧酸系高性能减水剂;
2 试配的混凝土早期抗裂试验的单位面积上的总开裂面积不宜大于700mm2/m2。
5.3.4 具有抗渗要求的轻骨料混凝土配合比设计应符合下列规定:
1 最大净水胶比应符合表5.3.4的规定。
表5.3.4 最大净水胶比

2 每立方米轻骨料混凝土中的胶凝材料不宜小于320kg。
3 配制具有抗渗要求的轻骨料混凝土的抗渗水压值应比设计值提高0.2MPa;抗渗试验结果应符合下式规定:

式中:Pt——6个试件中不少于4个未出现渗水时的最大水压值(MPa);
P——设计要求的抗渗等级值。
5.3.5 具有抗冻要求的轻骨料混凝土配合比设计应符合下列规定:
1 最大净水胶比和最小胶凝材料用量应符合表5.3.5-1的规定。
2 复合矿物掺合料最大掺量宜符合表5.3.5-2的规定;其他矿物掺合料的最大掺量宜符合本标准表5.4.2-1的规定。
3 引气剂掺量应经试验确定,使轻骨料混凝土含气量符合工程设计对轻骨料混凝土性能的要求。

注:采用其他通用硅酸盐水泥时,应将水泥混合材掺量20%以上的混合材量计入矿物掺合料。
5.3.6 轻骨料混凝土抗氯离子渗透配合比宜符合下列规定:
1 净水胶比不宜大于0.40;
2 每立方米轻骨料混凝土中的胶凝材料不宜小于350kg;
3 矿物掺合料掺量不宜小于25%。
5.3.7 轻骨料混凝土抗硫酸盐侵蚀配合比设计要求应符合表5.3.7的规定。
表5.3.7 轻骨料混凝土抗硫酸盐侵蚀配合比设计要求

注:1 矿物掺合料掺量为采用普通硅酸盐水泥时的掺量;
2 矿物掺合料主要为矿渣粉和粉煤灰等,或复合采用。
5.4 配合比设计参数选择
5.4.1 不同配制强度的轻骨料混凝土的胶凝材料用量可按表5.4.1选用,胶凝材料中的水泥宜为42.5级普通硅酸盐水泥;轻骨料混凝土最大胶凝材料用量不宜超过550kg/m3;对于泵送轻骨料混凝土,胶凝材料用量不宜小于350kg/m3。
表5.4.1 轻骨料混凝土的胶凝材料用量(kg/m3)

注:表中下限范围值适用于圆球型轻骨料砂轻混凝土,上限范围值适用于碎石型轻粗骨料砂轻混凝土和全轻混凝土。
5.4.2 矿物掺合料在轻骨料混凝土中的掺量应符合下列规定:
1 钢筋混凝土中矿物掺合料最大掺量宜符合表5.4.2-1的规定;预应力混凝土中矿物掺合料最大掺量宜符合表5.4.2-2的规定。
2 对于大体积混凝土,粉煤灰、粒化高炉矿渣粉和复合掺合料的最大掺量可增加5%。
3 采用掺量大于30%的C类粉煤灰的混凝土应以实际使用的水泥和粉煤灰掺量进行安定性检验。
4 采用其他通用硅酸盐水泥时,宜将水泥混合材掺量20%以上的部分计入矿物掺合料。
5 在混合使用两种或两种以上矿物掺合料时,矿物掺合料总掺量应符合表5.4.2-1和表5.4.2-2中复合掺合料的规定。
6 复合掺合料各组分的掺量不宜超过单掺时的最大掺量。
7 矿物掺合料最终掺量应通过试验确定。

5.4.3 轻骨料混凝土的净用水量可按表5.4.3选用,并应根据采用的外加剂,对其性能经试验调整后确定。
表5.4.3 轻骨料混凝土的净用水量

5.4.4 轻骨料混凝土的砂率应以体积砂率表示。体积可用绝对体积或松散体积表示,对应的砂率应为绝对体积砂率或松散体积砂率。轻骨料混凝土的砂率可按表5.4.4选用。当混合使用普通砂和轻砂作为细骨料时,宜取表5.4.4中的中间值,并按普通砂和轻砂的混合比例进行插值计算;当采用圆球型轻粗骨料时,宜取表5.4.4中的下限值;当采用碎石型轻粗骨料时,宜取表5.4.4中的上限值。对于泵送现浇的轻骨料混凝土,砂率宜取表5.4.4中的上限值。
表5.4.4 轻骨料混凝土的砂率

5.4.5 当采用松散体积法设计配合比时,粗细骨料松散堆积的总体积可按表5.4.5选用。当采用膨胀珍珠岩砂时,宜取表5.4.5中的上限值。
表5.4.5 粗细骨料松散堆积的总体积

5.5 配合比计算与调整
5.5.1 轻骨料混凝土配合比计算可采用松散体积法,也可采用绝对体积法。配合比计算中粗细骨料用量均以干燥状态为基准。
5.5.2 松散体积法应符合下列规定:
1 粗细骨料的种类及粗骨料的最大粒径,应根据设计要求的轻骨料混凝土的强度等级、混凝土的用途进行确定。
2 粗骨料应测定其堆积密度、筒压强度和1h吸水率,细骨料应测定其堆积密度。
3 应按本标准第5.2.1条计算混凝土配制强度。
4 应按本标准第5.4.1条选择胶凝材料用量,并按下列公式计算矿物掺合料用量和水泥用量:


式中:mf——每立方米轻骨料混凝土中矿物掺合料用量(kg);
mb——每立方米轻骨料混凝土中胶凝材料用量(kg);
βf——矿物掺合料掺量(%),可按本标准第5.4.2条的规定确定;
mc——每立方米轻骨料混凝土中水泥用量(kg)。
5 应按本标准第5.4.3条选择净用水量。
6 应根据混凝土用途按本标准第5.4.4条选取松散体积砂率。
7 应根据粗细骨料的类型,按本标准第5.4.5条选用粗、细骨料松散堆积的总体积,并按下列公式计算粗、细骨料用量:




式中:Vslb、Valb——分别为每立方米轻骨料混凝土的细骨料和粗骨料松散堆积的体积(m3);
Vtlb——每立方米轻骨料混凝土的粗、细骨料松散堆积的总体积(m3);
ms、ma——分别为每立方米混凝土的细骨料和粗骨料的用量(kg);
βs——松散体积砂率(%);
ρslb、ρalb——分别为细骨料和粗骨料的堆积密度(kg/m3)。
8 应按下式计算总用水量;在采用预湿的轻骨料时,净用水量应取为总用水量。

式中:mwt——每立方米轻骨料混凝土的总用水量(kg);
mwn——每立方米轻骨料混凝土的净用水量(kg);
mwa——每立方米轻骨料混凝土的附加水量(kg)。
9 应按下式计算轻骨料混凝土干表观密度ρcd,并与设计要求的干表观密度进行对比,当其误差大于2%时,则应重新调整和计算配合比。

5.5.3 绝对体积法应按下列步骤进行:
1 粗细骨料的种类及粗骨料的最大粒径,应根据设计要求的轻骨料混凝土的强度等级、混凝土的用途确定。
2 粗骨料应测定其表观密度、筒压强度和1h吸水率,细骨料应测定其表观密度。
3 应按本标准第5.2.1条计算混凝土配制强度。
4 应按本标准第5.4.1条选择胶凝材料用量,并按本标准公式(5.5.2-1)和公式(5.5.2-2)分别计算矿物掺合料用量和水泥用量。
5 应按本标准第5.4.3条选择净用水量。
6 应根据混凝土用途按本标准第5.4.4条选取绝对体积砂率。
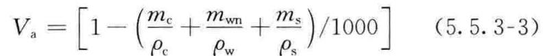
7 应按下列公式计算粗、细骨料的用量:




式中:Vs——每立方米轻骨料混凝土的细骨料绝对体积(m3);
ms——每立方米轻骨料混凝土的细骨料用量(kg);
mc——每立方米轻骨料混凝土的水泥用量(kg);
mwn——每立方米轻骨料混凝土的净用水量(kg);
sp——绝对体积砂率(%);
Va——每立方米轻骨料混凝土的粗骨料绝对体积(m3);
ma——每立方米轻骨料混凝土的粗骨料用量(kg);
ρc——水泥的表观密度(g/cm3),ρc可取2.9~3.1;
ρw——水的表观密度(g/cm3),ρ可取1.0;
ρs——细骨料的表观密度(g/cm3),采用普通砂时,ρs可取2.6;
ρap——粗骨料的表观密度(kg/m3)。
8 应按本标准公式(5.5.2-7)计算总用水量;在采用预湿的轻骨料时,净用水量应取为总用水量。
9 应按本标准公式(5.5.2-8)计算轻骨料混凝土干表观密度ρcd,并应与设计要求的干表观密度进行对比,当其误差大于2%时,则应重新调整和计算配合比。
5.5.4 计算得出的轻骨料混凝土配合比应通过试配予以调整。配合比的调整应按下列步骤进行:
1 以计算的混凝土配合比为基础,应维持用水量不变,选取与计算配合比胶凝材料相差±10%的两个胶凝材料用量,砂率相应适当减小和增加,然后分别按3个配合比拌制混凝土;并测定拌合物的稠度,调整用水量,以达到规定的稠度为止。
2 应按校正后的3个混凝土配合比进行试配,检验混凝土拌合物的稠度和湿表观密度,制作确定混凝土抗压强度标准值的试块,每种配合比应至少制作1组。
3 标准养护28d后,应测定混凝土抗压强度和干表观密度;以既能达到设计要求的混凝土配制强度和干表观密度又具有最小胶凝材料用量的配合比作为选定配合比。
4 对选定配合比进行方量校正,并应符合下列规定:
1) 应按下式计算选定配合比的轻骨料混凝土拌合物的湿表观密度:

式中:ρcc——按选定配合比各组成材料计算的湿表观密度(kg/m3);
ma、ms、mb、mwt——分别为选定配合比中的每立方米轻骨料混凝土的粗、细骨料用量、胶凝材料用量和总用水量(kg)。
2) 实测按选定配合比配制轻骨料混凝土拌合物的湿表观密度,并应按下式计算方量校正系数:

式中:η——方量校正系数;
ρc0——实测按选定配合比配制轻骨料混凝土拌合物的湿表观密度(kg/m3)。
3) 选定配合比中的各项材料用量均应乘以校正系数即为调整确定的配合比。
5.5.5 对于调整确定的轻骨料混凝土配合比,应测定拌合物中水溶性氯离子含量,试验结果应符合现行国家标准《混凝土质量控制标准》GB 50164的规定。
5.5.6 对耐久性能有设计要求的轻骨料混凝土应进行相关耐久性能验证试验,试验结果应符合设计要求。
6 结构设计计算6.1 一般规定
6.1.1 结构构件应根据承载能力极限状态及正常使用极限状态的要求,分别按下列规定进行计算和验算:
1 所有结构构件均应进行承载力计算;有抗震设防要求的结构应进行结构构件抗震的承载力验算;必要时,尚应进行结构的倾覆、滑移及抗浮验算。承载能力极限状态计算应符合现行国家标准《混凝土结构设计规范》GB 50010的有关规定。
2 对使用上需要控制变形值的构件,应进行变形验算。受弯构件的挠度限值应按现行国家标准《混凝土结构设计规范》GB 50010的有关规定执行。
3 对使用上不允许出现裂缝的构件,应进行轻骨料混凝土拉应力验算;对使用上允许出现裂缝的构件,应进行受力裂缝宽度验算。结构构件的裂缝控制等级及最大裂缝宽度限值应按现行国家标准《混凝土结构设计规范》GB 50010的有关规定执行。
6.1.2 预应力轻骨料混凝土结构构件的设计应符合现行国家标准《混凝土结构设计规范》GB 50010的有关规定。
6.2 正截面承载力计算的一般规定
6.2.1 本节的规定适用于钢筋轻骨料混凝土和预应力轻骨料混凝土受弯构件、受压构件和受拉构件的正截面承载力计算。
6.2.2 正截面承载力应按下列基本假定进行计算:
1 截面应变保持平面。
2 不应考虑轻骨料混凝土的抗拉强度。
3 轻骨料混凝土受压的应力-应变关系曲线应按下列规定取用:
1) 当ε≤ε0时:

2)当ε0<ε≤εcu时:

式中:σc——轻骨料混凝土压应力(N/mm2);
εc——轻骨料混凝土压应变;
fc——轻骨料混凝土轴心抗压强度设计值,按本标准表4.2.6采用(N/mm2);
ε0——轻骨料混凝土压应力刚达到fc时的混凝土压应变,按表6.2.2采用;
εcu——正截面的轻骨料混凝土极限压应变:当处于非均匀受压时,取为0.0033;当处于轴心受压时,取为ε0。
表6.2.2 轻骨料混凝土压应力刚达到fc时的混凝土压应变

4 纵向钢筋的应力应取钢筋应变与其弹性模量的乘积,但其绝对值不应大于其相应的强度设计值。纵向受拉钢筋的极限拉应变取为0.01。
6.2.3 受弯构件、偏心受力构件正截面受压区轻骨料混凝土的应力图形可简化为等效的矩形应力图,并应符合下列规定:
1 矩形应力图的受压区高度x可取按截面应变保持平面的假定所确定的中和轴高度乘以系数β1,β1可按表6.2.3采用。
2 矩形应力图的应力值可取轻骨料混凝土轴心抗压强度设计值fc乘以系数α1,α1可按表6.2.3采用。
表6.2.3 轻骨料混凝土矩形应力图的系数α1及β1

6.2.4 纵向受拉钢筋屈服与受压区轻骨料混凝土破坏同时发生时的相对界限受压区高度ξb应按下列公式计算:
1 有屈服点钢筋,相对界限受压区高度应按公式(6.2.4-1)计算;无屈服点钢筋,相对界限受压区高度应按公式(6.2.4-2)计算。


2 预应力轻骨料混凝土构件应符合下式规定:

式中:ξb——相对界限受压区高度,ξb取xb/h0,其中xb为界限受压区高度,h0为截面有效高度,即纵向受拉钢筋合力点至截面受压边缘的距离;当截面受拉区内配置有不同种类或不同预应力值的钢筋时,受弯构件的相对界限受压区高度应分别计算,并取其较小值;
fy——普通钢筋抗拉强度设计值(N/mm2),应按现行国家标准《混凝土结构设计规范》GB 50010的有关规定执行;
fpy——预应力筋抗拉强度设计值(N/mm2),应按现行国家标准《混凝土结构设计规范》GB 50010的有关规定执行;
Es——钢筋弹性模量(N/mm2),应按现行国家标准《混凝土结构设计规范》GB 50010的有关规定执行;
σp0——受拉区纵向预应力筋合力点处轻骨料混凝土法向应力等于零时的预应力筋应力(N/mm2),应按现行国家标准《混凝土结构设计规范》GB 50010的有关规定执行。
6.2.5 纵向钢筋应力应按下列规定确定:
1 纵向钢筋应力宜按下列公式计算:
1) 普通钢筋

2) 预应力筋

2 纵向钢筋应力也可按下列近似公式计算:
1) 普通钢筋

2) 预应力筋

3 按公式(6.2.5-1)~公式(6.2.5-4)计算的纵向钢筋应力应符合下列条件:


当计算的σsi为拉应力且其值大于fy时,取σsi=fy;当σsi为压应力且其绝对值大于f′y时,取σsi=-f′y。当计算的σpi为拉应力且其值大于fpy时,取σpi=fpy;当σpi为压应力且其绝对值大于(σp0i-f′py)的绝对值时,取σpi=σp0i-f′py。
式中:h0i——第i层纵向钢筋截面重心至截面受压边缘的距离(mm);
x——等效矩形应力图形的轻骨料混凝土受压区高度(mm);
σsi、σpi——第i层纵向普通钢筋、预应力筋的应力,正值代表拉应力,负值代表压应力(N/mm2);
f′y——纵向普通钢筋、预应力筋的抗压强度设计值(N/mm2),应按现行国家标准《混凝土结构设计规范》GB 50010的规定执行;
σp0i——第i层纵向预应力筋截面重心处轻骨料混凝土法向应力等于零时的预应力筋应力(N/mm2),应按现行国家标准《混凝土结构设计规范》GB 50010的有关规定执行。
6.3 受弯构件
6.3.1 受弯构件的正截面受弯承载力计算及有关限制条件应按现行国家标准《混凝土结构设计规范》GB 50010的有关规定执行,但其中矩形应力图的系数α1、β1和相对界限受压区高度ξb、纵向钢筋应力σsi、σpi应按本标准第6.2节的有关规定确定。
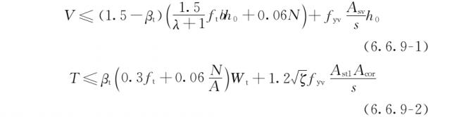
6.3.2 矩形、T形和I形截面的受弯构件,其受剪截面应符合下列条件:
1 当hw/b≤4时,应按公式(6.3.2-1)验算。
2 当hw/b≥6时,应按公式(6.3.2-2)验算。
3 当4<hw/b<6时,应按线性内插法确定。


式中:V——构件斜截面上的最大剪力设计值(N);
fc——轻骨料混凝土轴心抗压强度设计值(N/mm2),按本标准表4.2.6采用;
b——矩形截面宽度或T形截面、I形截面的腹板宽度(mm);
h0——截面的有效高度(mm);
hw——截面的腹板高度(mm),对矩形截面,取有效高度;对T形截面,取有效高度减去翼缘高度;对I形截面,取腹板净高。
6.3.3 不配置箍筋和弯起钢筋的一般板类受弯构件,其斜截面的受剪承载力应符合下列规定:


式中:V——构件斜截面上的最大剪力设计值(N);
βh——截面高度影响系数:当h0小于800mm时,h0取800mm;当h0大于2000mm时,h0取2000mm;
ft——轻骨料混凝土轴心抗拉强度设计值(N/mm2),按本标准表4.2.6采用。
6.3.4 矩形、T形和I形截面的一般受弯构件,当仅配置箍筋时,其斜截面的受剪承载力按下列公式计算,并应符合下列规定:
1 对预加力NP0引起的截面弯矩与外弯矩方向相同的情况,以及预应力轻骨料混凝土连续梁和允许出现裂缝的预应力轻骨料混凝土简支梁,VP均应取0。
2 对先张法预应力轻骨料混凝土构件,在计算预加力NP0时,应按现行国家标准《混凝土结构设计规范》GB 50010的有关规定考虑预应力筋传递长度的影响。



式中:V——构件斜截面上的最大剪力设计值(N);
Vcs——构件斜截面上轻骨料混凝土和箍筋的受剪承载力设计值(N);
Vp——由预加力所提高的构件受剪承载力设计值(N);
Asv——配置在同一截面内箍筋各肢的全部截面面积(mm2):Asv取nAsvl,n为在同一截面内箍筋的肢数,Asvl为单肢箍筋的截面面积;
s——沿构件长度方向的箍筋间距(mm);
fyv——箍筋抗拉强度设计值(N/mm2),应按现行国家标准《混凝土结构设计规范》GB 50010的规定选用;
Np0——计算截面上轻骨料混凝土法向预应力等于零时的预加力(N),应按现行国家标准《混凝土结构设计规范》GB 50010的有关规定执行;当Np0大于0.3fcA0时,Np0取0.3fcA0,A0为构件的换算截面面积。
3 集中荷载作用下的独立梁,应按下式计算:

式中:λ——计算截面的剪跨比,λ可取a/h0,a为集中荷载作用点至支座或节点边缘的距离;当λ小于1.5时,λ取1.5;当λ大于3时,λ取3;集中荷载作用点至支座之间的箍筋应均匀配置。
6.3.5 矩形、T形和I形截面的受弯构件,当配置箍筋和弯起钢筋时,其斜截面的受剪承载力应按现行国家标准《混凝土结构设计规范》GB 50010的有关规定执行,但其中Vcs、Vp应按本标准第6.3.4条的规定进行计算。
6.3.6 矩形、T形和I形截面的一般受弯构件符合公式(6.3.6-1)的要求时,集中荷载作用下的独立梁符合公式(6.3.6-2)的要求时,均可不进行斜截面的受剪承载力计算,但应根据本标准第7.2.8条及现行国家标准《混凝土结构设计规范》GB 50010的有关规定,按构造要求配置箍筋。


6.4 受压构件
6.4.1 钢筋轻骨料混凝土轴心受压构件,当配置的箍筋符合本标准的构造规定时,其正截面受压承载力应按现行国家标准《混凝土结构设计规范》GB 50010的有关规定计算,其中稳定系数φ应按表6.4.1采用。
表6.4.1 钢筋轻骨料混凝土轴心受压构件的稳定系数

注:表中l0为构件的计算长度;b为矩形截面的短边尺寸;d为圆形截面的直径;i为截面的最小回转半径。
6.4.2 钢筋轻骨料混凝土轴心受压构件,当配置螺旋式或焊接环式间接钢筋时,不宜考虑间接钢筋对受压承载力的提高。
6.4.3 矩形和I形截面轻骨料混凝土偏心受压构件,以及沿截面腹部均匀配置纵向钢筋的矩形、T形或I形截面钢筋轻骨料混凝土偏心受压构件,其正截面承载力计算,应按现行国家标准《混凝土结构设计规范》GB 50010的有关规定计算,其中矩形应力图的系数α1、β1和相对界限受压区高度ξb应按本标准第6.2.3条、第6.2.4条确定。
6.4.4 矩形、T形和I形截面的钢筋轻骨料混凝土偏心受压构件的受剪截面应符合本标准第6.3.2条的规定。
6.4.5 矩形、T形和I形截面的钢筋轻骨料混凝土偏心受压构件,其斜截面受剪承载力应符合下式规定:

式中:λ——偏心受压构件计算截面的剪跨比;
N——与剪力设计值V相应的轴向压力设计值(N),当N>0.3fcA时,N取0.3fcA,此处,A为构件的截面面积。
计算截面的剪跨比应按下列规定取用:
1 对各类结构的框架柱,λ宜取M/(Vh0);对框架结构中的框架柱,当其反弯点在层高范围内时,λ可取Hn/(2h0);当λ小于1时,λ取1;当λ大于3时,λ取3;此处,M为计算截面上与剪力设计值V相对应的弯矩设计值,Hn为柱净高。
2 对其他偏心受压构件,当承受均布荷载时,λ取1.5;当承受符合本标准第6.3.4条规定的集中荷载时,λ取a/h0,当λ小于1.5时,λ取1.5;当λ大于3时,λ取3;此处,a为集中荷载至支座或节点边缘的距离。
6.4.6 矩形、T形和I形截面的钢筋轻骨料混凝土偏心受压构件,当符合下式的规定时,可不进行斜截面受剪承载力计算,应根据现行国家标准《混凝土结构设计规范》GB 50010的有关规定,按构造要求配置箍筋。下式中的剪跨比和轴向压力设计值应按本标准第6.4.5条确定。

6.4.7 矩形截面双向受剪的钢筋轻骨料混凝土框架柱,其受剪截面应符合下列条件:


式中:Vx——x轴方向的剪力设计值(N),对应的截面有效高度为h0,截面宽度为b;
Vy——y轴方向的剪力设计值(N),对应的截面有效高度为b0,截面宽度为h;
θ——斜向剪力设计值V的作用方向与x轴的夹角,θ取arctan(Vy/Vx)。
6.4.8 矩形截面双向受剪的钢筋轻骨料混凝土框架柱,其斜截面受剪承载力应符合下式规定:

式中:Vux、Vuy——构件沿x轴方向、y轴方向的斜截面受剪承载力设计值(N),分别取对应的截面有效高度及截面宽度,按本标准公式(6.4.5)计算。
6.4.9 符合公式(6.4.9-1)、公式(6.4.9-2)规定的矩形截面双向受剪的钢筋轻骨料混凝土框架柱,可不进行斜截面受剪承载力计算,但应根据本标准及现行国家标准《混凝土结构设计规范》GB 50010的有关规定,按构造要求配置箍筋。


式中:λx、λy——框架柱沿x轴、y轴方向计算截面的剪跨比,应按本标准第6.4.5条的规定确定。
6.4.10 钢筋轻骨料混凝土剪力墙的受剪截面应符合下式条件:

式中:V——剪力设计值(N);
b——矩形截面的宽度或T形、I形截面的腹板宽度(墙的厚度)(mm);
h0——截面的有效高度(mm)。
6.4.11 钢筋轻骨料混凝土剪力墙在偏心受压时的斜截面受剪承载力应符合下式规定:

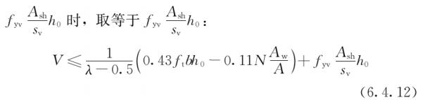
式中:N——与剪力设计值V相应的轴向压力设计值(N),当N大于0.2fcbh时,取0.2fcbh;
A——剪力墙的截面面积(mm2),其中,翼缘的有效面积应按现行国家标准《混凝土结构设计规范》GB 50010规定的翼缘计算宽度确定;
Aw——T形、I形截面剪力墙腹板的截面面积(mm2),对矩形截面剪力墙,取Aw=A;
Ash——配置在同一水平截面内的水平分布钢筋的全部截面面积(mm2);
sv——水平分布钢筋的竖向间距(mm);
λ——计算截面的剪跨比,λ为M/(Vh0);当λ小于1.5时,取为1.5,当λ大于2.2时,取为2.2;此处,M为与剪力设计值V相应的弯矩设计值;当计算截面与墙底之间的距离小于h0/2时,λ应按距墙底h0/2处的弯矩值与剪力值计算。
当剪力设计值V不大于本标准公式(6.4.11)中右边第一项时,水平分布钢筋应按现行国家标准《混凝土结构设计规范》GB 50010规定的构造要求配置。
6.4.12 钢筋轻骨料混凝土剪力墙在偏心受拉时的斜截面受剪承载力应符合下式规定,且公式(6.4.12)右边的计算值小于

式中:N——与剪力设计值V相应的轴向拉力设计值(N);
λ——计算截面的剪跨比,按本标准第6.4.11条取用。
6.4.13 钢筋轻骨料混凝土剪力墙中的洞口连梁,其受剪截面应符合本标准第6.3.2条的规定,其斜截面受剪承载力宜符合下式规定:

6.5 受拉构件
6.5.1 轻骨料混凝土受拉构件的正截面承载力计算和有关限制条件,应符合现行国家标准《混凝土结构设计规范》GB 50010的有关规定.其中矩形应力图的系数α1、β1和相对界限受压区高度ξb、纵向钢筋应力ssi、spi应按本标准第6.2节的有关规定确定。
6.5.2 矩形、T形和I形截面的钢筋轻骨料混凝土偏心受拉构件的受剪截面应符合本标准第6.3.2条的规定。
6.5.3 矩形、T形和I形截面的钢筋轻骨料混凝土偏心受拉构件,其斜截面受剪承载力应符合下式规定,当公式(6.5.3)右

式中:N——与剪力设计值V相应的轴向拉力设计值(N);
λ——计算截面的剪跨比,按本标准第6.4.5条确定。
6.6 受扭构件
6.6.1 在弯矩、剪力和扭矩共同作用下,对hw/b不大于6的矩形、T形和I形截面构件(图6.6.1),其截面应符合下列条件:
1 当hw/b不大于4时,应按公式(6.6.1-1)验算;
2 当hw/b等于6时,应按公式(6.6.1-2)验算;
3 当hw/b介于4和6之间时,按线性内插法确定。
4 当hw/b大于6时,受扭构件的截面尺寸条件及扭曲截面承载力计算应符合专门规定。


式中:T——扭矩设计值(N·mm);
b——矩形截面的宽度,T形或I形截面的腹板宽度(mm);
h0——截面的有效高度(mm);
Wt——受扭构件的截面受扭塑性抵抗矩(mm3),应按现行国家标准《混凝土结构设计规范》GB 50010的有关规定执行;
hw——截面的腹板高度(mm),对矩形截面,取有效高度h0;对T形截面,取有效高度减去翼缘高度;对I形截面,取腹板净高。

6.6.2 在弯矩、剪力和扭矩共同作用下的构件(图6.6.1),符合公式(6.6.2)的要求时,可不进行构件受剪扭承载力计算,但应根据现行国家标准《混凝土结构设计规范》GB 50010的有关规定,按构造要求配置纵向钢筋和箍筋,此时梁内受扭纵向钢筋配筋率ρtl应符合本标准第7.2.7条的规定。

式中:Np0——计算截面上轻骨料混凝土法向预应力等于零时的纵向预应力筋及非预应力筋的合力,应按现行国家标准《混凝土结构设计规范》GB 50010的有关规定执行;当Np0大于0.3fcA0时,Np0取0.3fcA0,此处A0为构件的换算截面面积。
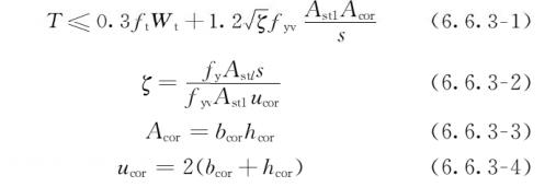
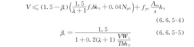
6.6.3 矩形截面纯扭构件的受扭承载力应符合下列规定:
1 矩形截面纯扭构件的受扭承载力应按下列公式验算:

式中:z——受扭的纵向钢筋与箍筋的配筋强度比值,应不小于0.6且不大于1.7,当z大于1.7时,z取1.7;
Astl——受扭计算中取对称布置的全部纵向非预应力筋截面面积(mm2);
Astl——受扭计算中沿截面周边配置的箍筋单肢截面面积(mm2);
fyv——受扭箍筋的抗拉强度设计值(N/mm2),应按现行国家标准《混凝土结构设计规范》GB 50010的规定选用;
fy——受扭纵向钢筋的抗拉强度设计值(N/mm2),应按现行国家标准《混凝土结构设计规范》GB 50010的规定选用;
Acor——截面核心部分的面积(mm2);
ucor——截面核心部分的周长(mm);
bcor——箍筋内表面范围内截面核心部分的短边尺寸(mm);
hcor——箍筋内表面范围内截面核心部分的长边尺寸(mm)。

3 当ζ小于1.7或ep0大于h/6时,不应考虑预加力影响项,而应按钢筋轻骨料混凝土纯扭构件计算。
6.6.4 T形和I形截面纯扭构件,可按现行国家标准《混凝土结构设计规范》GB 50010的规定将其截面划分为几个矩形截面,并应分别按本标准第6.6.3条进行受扭承载力计算。
6.6.5 在剪力和扭矩共同作用下的矩形截面剪扭构件,其受剪扭承载力应符合下列规定:
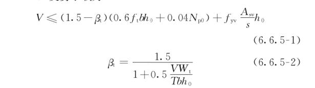
1 一般剪扭构件应符合下列规定:
1) 受剪承载力

式中:Asv——受剪承载力所需的箍筋截面面积(mm2);
βt——一般轻骨料混凝土剪扭构件受扭承载力降低系数,当βt小于0.5时,βt取0.5;当βt大于1时,βt取1。
2) 受扭承载力

式中:ζ——受扭的纵向钢筋与箍筋的配筋强度比值,应按本标准第6.6.3条的规定确定。
2 集中荷载作用下的独立剪扭构件应符合下列规定:
1) 受剪承载力

式中:λ——计算截面的剪跨比,按本标准第6.3.4条规定取用;
βt——集中荷载作用下剪扭构件轻骨料混凝土受扭承载力降低系数,当βt小于0.5时,βt取0.5;当βt大于1时,βt取1。
2) 受扭承载力仍应按本标准公式(6.6.5-3)计算,但式中的βt应按本标准公式(6.6.5-5)计算。
6.6.6 T形和I形截面剪扭构件的受剪扭承载力应按下列规定计算:
1 剪扭构件的受剪承载力,应按本标准公式(6.6.5-1)与公式(6.6.5-2)或公式(6.6.5-4)与公式(6.6.5-5)进行计算,但计算时应将T及Wt,分别以Tw及Wtw代替;
2 剪扭构件的受扭承载力,可根据本标准第6.6.4条的规定划分为几个矩形截面分别进行计算;腹板可按本标准公式(6.6.5-3)、公式(6.6.5-2)或公式(6.6.5-3)、公式(6.6.5-5)进行计算,但计算时应将T及Wt分别以Tw及Wtw代替;受压翼缘及受拉翼缘可按本标准第6.6.3条纯扭构件的规定进行计算,但计算时应将T及Wt分别以T′f及W′tf或Tf及Wtf代替。
6.6.7 在弯矩、剪力和扭矩共同作用下的矩形、T形和I形截面的弯剪扭构件,可按下列规定进行承载力的简化计算:
1 当V≤0.3/ftbh0或V≤0.75ftbh0/(λ+1)时,可仅按受弯构件的正截面受弯承载力和纯扭构件的受扭承载力分别进行计算;
2 当T≤0.15ftWt时,可仅按受弯构件的正截面受弯承载力和斜截面受剪承载力分别进行计算。
6.6.8 矩形、T形和I形截面弯剪扭构件的配筋计算及配筋位置应按现行国家标准《混凝土结构设计规范》GB 50010的有关规定执行。
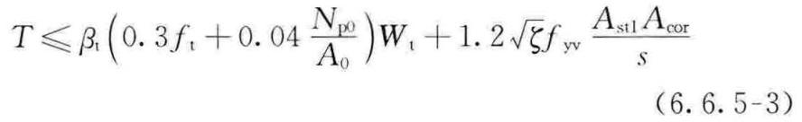
6.6.9 在轴向压力、弯矩、剪力和扭矩共同作用下的钢筋轻骨料混凝土矩形截面框架柱,其受剪、受扭承载力应符合下列规定:
1 受剪承载力应符合公式(6.6.9-1)规定。
2 受扭承载力应符合公式(6.6.9-2)规定。

式中:λ——计算截面的剪跨比,按本标准第6.4.5条的规定确定;
βt——集中荷载作用下剪扭构件轻骨料混凝土受扭承载力降低系数,应按本标准公式(6.6.5-5)计算;
ζ——受扭的纵向钢筋与箍筋的配筋强度比值,应按本标准第6.6.3条的规定确定。
6.6.10 在轴向压力、弯矩、剪力和扭矩共同作用下的钢筋轻骨料混凝土矩形截面框架柱,当T≤(0.15ft+0.03N/A)Wt时,可仅计算偏心受压构件的正截面承载力和斜截面受剪承载力。
6.6.11 在轴向压力、弯矩、剪力和扭矩共同作用下的钢筋轻骨料混凝土矩形截面框架柱的配筋计算及配筋位置应按现行国家标准《混凝土结构设计规范》GB 50010的有关规定执行。
6.7 受冲切构件
6.7.1 在局部荷载或集中反力作用下不配置箍筋或弯起钢筋的板,其受冲切承载力应符合下列规定(图6.7.1):

式中:Fl——局部荷载设计值或集中反力设计值(N);对板柱结构的节点,取柱所承受的轴向压力设计值的层间差值减去冲切破坏锥体范围内板所承受的荷载设计值;当有不平衡弯矩时,其集中反力设计值Fl应以等效集中反力设计值Fl,eq代替,Fl,eq应符合现行国家标准《混凝土结构设计规范》GB 50010的有关规定;
βh——截面高度影响系数,当h小于等于800mm时,βh取1.0;当h不小于2000mm时,βh取0.9,其间按线性内插法取用;
ft——轻骨料混凝土轴心抗拉强度设计值(N/mm2),按本标准表4.2.6采用;
σpc,m——临界截面周长上两个方向轻骨料混凝土有效预压应力按长度的加权平均值,其值宜控制在1.0N/mm2~3.5N/mm2范围内;
um——临界截面的周长(mm),距离局部荷载或集中反力作用面积周边h0/2处板垂直截面的最不利周长;
h0——截面有效高度(mm),取两个配筋方向的截面有效高度的平均值;
η——系数,应取η1和η2中的较小值;
η1——局部荷载或集中反力作用面积形状的影响系数;
η2——临界截面周长与板截面有效高度之比的影响系数;
βs——局部荷载或集中反力作用面积为矩形时的长边与短边尺寸的比值,βs不宜大于4;当βs小于2时,βs取2;当面积为圆形时,β2取2;
αs——板柱结构中柱类型的影响系数,对中柱,αs取40;对边柱,αs取30;对角柱,αs取20。
6.7.2 在局部荷载或集中反力作用下,当受冲切承载力不符合本标准第6.7.1条的规定且板厚受到限制时,可配置箍筋或弯起钢筋,并应符合下列规定:
1 受冲切截面应符合下式规定:

2 配置箍筋或弯起钢筋的板,其受冲切承载力应符合下列规定:
1) 当配置箍筋时

2) 当配置弯起钢筋时

式中:Asvu——与呈45°冲切破坏锥体斜截面相交的全部箍筋截面面积(mm2);
Asbu——与呈45°冲切破坏锥体斜截面相交的全部弯起钢筋截面面积(mm2);
α——弯起钢筋与板底面的夹角。
3 板中配置的抗冲切箍筋或弯起钢筋,应符合现行国家标准《混凝土结构设计规范》GB 50010的构造规定。
4 对配置抗冲切钢筋的冲切破坏锥体以外的截面,尚应按本标准第6.7.1条的规定进行受冲切承载力计算,且um应取配置抗冲切钢筋的冲切破坏锥体以外0.5h0处的最不利周长。
6.8 局部受压构件
6.8.1 配置间接钢筋的轻骨料混凝土结构构件,其局部受压区的截面尺寸应符合下列规定:

式中:Fl——局部受压面上作用的局部荷载或局部压力设计值(N);对后张法预应力轻骨料混凝土构件中的锚头局压区的压力设计值,应取1.2倍张拉控制力;
fc——轻骨料混凝土轴心抗压强度设计值(N/mm2);在后张法预应力轻骨料混凝土构件的张拉阶段验算中,应根据相应阶段的轻骨料混凝土立方体抗压强度f′cu值按本标准表4.2.5的规定以线性内插法确定;
βc——混凝土强度影响系数:当混凝土强度等级不超过LC50时,βc取1.0;当混凝土强度等级为LC60时,βc取0.93;其间按线性内插法确定;
βt——轻骨料混凝土局部受压时的强度提高系数,其取值不应大于2.65;
Al——轻骨料混凝土局部受压面积(mm2);
Aln——轻骨料混凝土局部受压净面积(mm2);对后张法构件,应在轻骨料混凝土局部受压面积中扣除孔道、凹槽部分的面积;
Ab——局部受压的计算底面积(mm2),可由局部受压面积与计算底面积按同心、对称的原则确定。
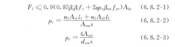
6.8.2 当配置方格网式或螺旋式间接钢筋且其核心面积Acor不小于Al时(图6.8.2),局部受压承载力应符合下列规定:

1 局部受压承载力应按公式(6.8.2-1)验算。

式中:βcor——配置间接钢筋的局部受压承载力提高系数,按本标准公式(6.8.1-2)计算,但Ab以Acor代替,当Acor大于Ab时,Acor应取Ab;
α——间接钢筋对混凝土约束的折减系数:当混凝土强度等级不超过LC50时,取1.0,当混凝土强度等级为LC60时,取0.95,其间按线性内插法确定;
fyv——间接钢筋的抗拉强度设计值,应按现行国家标准《混凝土结构设计规范》GB 50010有关规定执行;
Acor——方格网式或螺旋式间接钢筋内表面范围内的轻骨料混凝土核心面积,其重心应与Al的重心重合,计算中仍按同心、对称的原则取值;
ρv——间接钢筋的体积配筋率,即核心面积Acor范围内单位轻骨料混凝土体积所含间接钢筋的体积;
n1、As1——方格网沿l1方向的钢筋根数、单根钢筋的截面面积;
n2、As2——方格网沿l2方向的钢筋根数、单根钢筋的截面面积;
Assl——单根螺旋式间接钢筋的截面面积;
dcor——螺旋式间接钢筋内表面范围内的轻骨料混凝土截面直径;
s——方格网式或螺旋式间接钢筋的间距,宜取30mm~80mm。
2 当为方格网式配筋时(图6.8.2a),其体积配筋率ρv应按公式(6.8.2-2)计算,且钢筋网两个方向上单位长度内钢筋截面面积的比值不宜大于1.5。
3 当为螺旋式配筋时(图6.8.2b),其体积配筋率ρv应按公式(6.8.2-3)计算。
4 配置在规定高度h范围内(如图6.8.2所示)的间接钢筋,对方格网式钢筋,不应少于4片;对螺旋式钢筋,不应少于4圈。对柱接头,h尚不应小于15d,d为柱的纵向钢筋直径。
5 当在矩形截面内配置用于局部承压的螺旋箍筋时,沿截面周边配置的矩形箍筋宜加密。
6.9 裂缝控制验算
6.9.1 钢筋轻骨料混凝土和预应力轻骨料混凝土构件,应按表6.9.1确定其裂缝控制等级及最大裂缝宽度的限值叫ωlim,其中环境类别应根据现行国家标准《混凝土结构设计规范》GB 50010的规定确定并应符合下列规定:
1 对处于年平均相对湿度小于60%地区一级环境下的受弯构件,其最大裂缝宽度限值可采用表6.9.1括号内的数值。
2 在一类环境下,对钢筋轻骨料混凝土屋架、托架及需作疲劳验算的吊车梁,其最大裂缝宽度限值应取为0.20mm;对钢筋轻骨料混凝土屋面梁和托梁,其最大裂缝宽度限值应取为0.30mm。
3 在一类环境下,对预应力轻骨料混凝土屋架、托架及双向板体系,应按二级裂缝控制等级进行验算;对一类环境下的预应力轻骨料混凝土屋面梁、托梁、单向板,按表6.9.1中二a级环境的要求进行验算;在一类和二类环境下的需作疲劳验算的预应力混凝土吊车梁,应按一级裂缝控制等级进行验算。
4 对于烟囱、筒仓和处于液体压力下的结构构件,其裂缝控制要求应进行专项规定。
5 对于处于四类、五类环境下的结构构件,其裂缝控制要求应符合专门标准的有关规定。
6 混凝土保护层厚度较大的构件,可根据实践经验对表6.9.1中最大裂缝宽度限值适当放宽。
表6.9.1 结构构件的裂缝控制等级及最大裂缝宽度的限值(mm)

注:1 表中规定的预应力轻骨料混凝土构件的裂缝控制等级和最大裂缝宽度限值仅适用于正截面的验算;
2 表中的规定可适用于采用热轧钢筋的钢筋轻骨料混凝土构件和采用预应力钢丝、钢绞线及预应力螺纹钢筋的顶应力轻骨料混凝土构件;当采用其他类别的钢丝或钢筋时,其裂缝控制要求按专门标准确定。
6.9.2 钢筋轻骨料混凝土和预应力轻骨料混凝土构件的受拉边缘应力或正截面裂缝宽度验算应符合下列规定:
1 一级裂缝控制等级的构件,在荷载效应的标准组合下,受拉边缘应力应符合下式规定:

2 二级裂缝控制等级的构件,在荷载效应的标准组合下,受拉边缘应力应符合下式规定:

3 三级裂缝控制等级时,钢筋轻骨料混凝土构件的最大裂缝宽度可按荷载准永久组合并考虑长期作用影响的效应计算,预应力轻骨料混凝土构件的最大裂缝宽度可按荷载标准组合并考虑长期作用影响的效应计算。最大裂缝宽度应符合下式规定:

4 对环境类别为二a类的预应力轻骨料混凝土构件,在荷载准永久组合下,受拉边缘应力尚应符合下式规定:

式中:σck、σcq——荷载标准组合、准永久组合下抗裂验算边缘的轻骨料混凝土法向应力(N/mm2);
σpc——扣除全部预应力损失后在抗裂验算边缘混凝土的预压应力(MPa),按现行国家标准《混凝土结构设计规范》GB 50010的有关规定执行;对受弯和大偏心受压的预应力轻骨料混凝土构件,其预拉区在施工阶段出现裂缝的区段,本标准公式(6.9.2-1)~公式(6.9.2-3)中的σpc应乘以系数0.9;
ftk——轻骨料混凝土轴心抗拉强度标准值(N/mm2),按本标准表4.2.5取用;
ωmax——按荷载的标准组合或准永久组合并考虑长期作用影响计算最大裂缝宽度(mm),按本标准第6.9.3条计算。
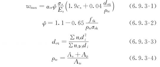
6.9.3 在矩形、T形、倒T形和I形截面的钢筋轻骨料混凝土受拉、受弯和偏心受压构件及预应力轻骨料混凝土轴心受拉和受弯构件中,按荷载效应的标准组合或准永久组合并考虑长期作用影响的最大裂缝宽度可按下列公式计算:

式中:αcr——构件受力特征系数.按现行国家标准《混凝土结构设计规范》GB 50010的有关规定执行;
ψ——裂缝间纵向受拉钢筋应变不均匀系数,当ψ小于0.2时,ψ取0.2;当ψ大于1.0时,ψ取1.0;对直接承受重复荷载的构件,ψ取1.0;
σs——按荷载准永久组合计算的钢筋轻骨料混凝土构件纵向受拉普通钢筋应力或按标准组合计算的预应力轻骨料混凝土构件纵向受拉钢筋等效应力(N/mm2);
Es——钢筋的弹性模量(N/mm2),按现行国家标准《混凝土结构设计规范》GB 50010的有关规定执行;
Cs——最外层纵向受拉钢筋边缘至受拉区底边的距离(mm):当Cs小于20时,Cs取20;当Cs大于65时,Cs取65;
ρte——按有效受拉轻骨料混凝土截面面积计算的纵向受拉钢筋配筋率;对无粘结后张构件,仅取纵向受拉普通钢筋计算配筋率;在最大裂缝宽度计算中,当ρte小于0.01时,ρte取0.01;
Ate——有效受拉混凝土截面面积(mm2),对轴心受拉构件,取构件截面面积;对受弯、偏心受压和偏心受拉构件,Ate取0.5bh+(bf-b)hf,此处,bf、hf为受拉翼缘的宽度、高度;
As——受拉区纵向普通钢筋截面面积(mm2);
Ap——受拉区纵向预应力筋截面面积(mm2);
deq——受拉区纵向钢筋的等效直径(mm);对无粘结后张构件,仅为受拉区纵向受拉普通钢筋的等效直径;

ni——受拉区第i种纵向钢筋的根数;对于有粘结预应力钢绞线,取为钢绞线束数;
vi——受拉区第i种纵向钢筋的相对粘结特征系数,按现行国家标准《混凝土结构设计规范》GB 50010的有关规定执行;对环氧树脂涂层带肋钢筋,其相对粘结特征系数尚应乘以系数0.8。
6.9.4 计算最大裂缝宽度时,尚应符合下列规定:
1 对承受吊车荷载但不需做疲劳验算的受弯构件,可将计算求得的最大裂缝宽度乘以系数0.85;
2 对按现行国家标准《混凝土结构设计规范》GB 50010配置表层钢筋网片的梁,按本标准公式(6.9.3-1)计算的最大裂缝宽度可适当折减,折减系数可取0.7;
3 对e0≤0.55h0的偏心受压构件,可不验算裂缝宽度;
4 对现浇轻骨料混凝土梁板,在计算梁端负弯矩截面的最大裂缝宽度时,受拉区纵向普通钢筋截面面积可计入梁有效翼缘宽度范围内与梁同方向的板筋面积,其中梁有效翼缘宽度可按现行国家标准《混凝土结构设计规范》GB 50010的有关规定取值。
6.9.5 在荷载准永久组合或标准组合下,钢筋轻骨料混凝土构件受拉区纵向普通钢筋的应力或预应力轻骨料混凝土受拉区纵向钢筋的等效应力应按现行国家标准《混凝土结构设计规范》GB50010的有关规定计算,但宜将内力臂系数取为0.85计算。
6.9.6 在荷载准永久组合或标准组合下,抗裂验算边缘轻骨料混凝土的法向应力计算、预应力轻骨料混凝土受弯构件对截面上的轻骨料混凝土主拉应力和主压应力的验算应符合现行国家标准《混凝土结构设计规范》GB 50010的有关规定。
6.10 受弯构件的挠度验算
6.10.1 钢筋轻骨料混凝土和预应力轻骨料混凝土受弯构件的挠度可按照结构力学方法计算,且不应超过现行国家标准《混凝土结构设计规范》GB50010的有关规定。荷载准永久组合或荷载标准组合并计入荷载长期作用影响的刚度B应按现行国家标准《混凝土结构设计规范》GB 50010的有关规定计算。
6.10.2 按裂缝控制等级要求的荷载组合作用下,钢筋轻骨料混凝土受弯构件和预应力轻骨料混凝土受弯构件的短期刚度Bs,可按下列公式计算:

式中:αE——钢筋弹性模量与轻骨料混凝土弹性模量的比值;
ψ——裂缝间纵向受拉钢筋应变不均匀系数,按本标准第6.9.3条确定;
ρ——纵向受拉钢筋配筋率:对钢筋轻骨料混凝土受弯构件,ρ取As/(bh0);对预应力轻骨料混凝土受弯构件,ρ取(Ap+As)/(bh0);
I0——换算截面惯性矩;
γf——受拉翼缘截面面积与腹板有效截面面积的比值;
bf——受拉区翼缘的宽度(mm);
hf——受拉区翼缘的高度(mm);
kcr——预应力轻骨料混凝土受弯构件正截面的开裂弯矩Mcr与弯矩Mk的比值,当kcr大于1.0时,kcr取1.0;
σpc——扣除全部预应力损失后,由预加力在抗裂验算边缘产生的轻骨料混凝土预压应力(N/mm2);
γ——轻骨料混凝土构件的截面抵抗矩塑性影响系数,应按现行国家标准《混凝土结构设计规范》GB50010的有关规定确定。
3 对预压时预拉区出现裂缝的构件,Bs应降低10%。
6.10.3 荷载长期作用对挠度增大影响系数的取值和预应力轻骨料混凝土受弯构件在使用阶段的预加力反拱值,应按现行国家标准《混凝土结构设计规范》GB 50010的有关规定确定。
6.11 预应力计算
6.11.1 除混凝土收缩、徐变引起的预应力损失值外,预应力轻骨料混凝土结构构件中预应力筋的其他预应力损失值应按现行国家标准《混凝土结构设计规范》GB 50010的有关规定确定;且预应力总损失取值,先张法构件不应小于130N/mm2,后张法构件不应小于110N/mm2。
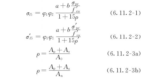
6.11.2 轻骨料混凝土收缩、徐变引起的结构构件受拉区、受压区纵向预应力筋的预应力损失值σl5、σ′l5应满足下列规定:
1 σl5、σ′l5可按下列公式计算:


式中:φ1——环境湿度影响系数,按本标准表6.11.3-1取用;
φ2——体积表面积比影响系数,按本标准表6.11.3-2取用;
a、b——混凝土收缩、徐变引起预应力损失值的计算参数,按本标准表6.11.3-3取用;
f′cu——施加预应力时的轻骨料混凝土立方体抗压强度(N/mm2),由与结构构件同条件养护的试件确定;
σpv、σ′pc——受拉区、受压区预应力筋合力点处轻骨料混凝土法向压应力(N/mm2);
ρ、ρ′——受拉区、受压区预应力筋和非预应力筋的配筋率:对先张法构件。应按本标准公式(6.11.2-3a)、公式(6.11.2-4a)分别计算;对后张法构件,应按本标准公式(6.11.2-3b)、公式(6.11.2-4b)分别计算;对称配置预应力筋和非预应力筋的构件,配筋率ρ、ρ′应按钢筋总截面的一半计算;
Ap、As——分别为受拉区纵向预应力筋和非预应力筋的截面面积(mm2);
A0、An——分别为构件换算截面面积和净截面面积(mm2)。
2 在受拉区、受压区预应力筋合力点处的轻骨料混凝土法向压应力σpc、σ′pc应按现行国家标准《混凝土结构设计规范》GB 50010的有关规定计算。此时,预应力损失值应仅计入轻骨料混凝土预压前(第一批)的损失,其非预应力筋中的应力值σl5、σ′l5应取为零;σpc、σ′pc值不应大于0.5f′cu;当σ′pc为拉应力时,公式(6.11.2-2)中的σ′pc应取为零。计算轻骨料混凝土法向应力σpc、σ′pc时,可根据构件制作情况计入自重的影响。
3 当构件采用蒸养时,计算的σl5、σ′l5应乘以折减系数0.85。
4 当能预先确定构件承受外荷载的时间时,可计入时间对轻骨料混凝土收缩和徐变损失值的影响。将σl5、σ′l5乘以时间影响系数β,β可按下式计算:

式中:t——结构构件从预加力时起至承受外荷载的时间(d),t不应大于365d;
δ、ζ——时间影响系数的计算参数,按本标准表6.11.3-4取用。
5 当采用泵送轻骨料混凝土时,宜根据实际情况考虑轻骨料混凝土收缩、徐变引起预应力损失值的增大。
6.11.3 在轻骨料混凝土收缩、徐变引起的预应力损失值计算中,所计入的影响系数和计算参数可按表6.11.3-1~表6.11.3-4取用。
表6.11.3-1 环境湿度影响系数

注:干燥条件指年平均相对湿度不高于40%的环境湿度条件;高湿条件指年平均相对湿度不低于80%的环境湿度条件;正常条件指年平均相对湿度为60%左右的环境湿度条件。
表6.11.3-2 体积表面积比影响系数

注:表中V为构件的体积,S为构件在空气中外露的表面积。

7 构造及构件规定7.1 构造规定
7.1.1 钢筋轻骨料混凝土结构伸缩缝的最大间距宜符合表7.1.1的规定。
表7.1.1 钢筋轻骨料混凝土结构伸缩缝最大间距(m)

注:1 装配整体式结构房屋的伸缩缝间距,可根据结构的具体情况取表中装配式结构与现浇结构之间的数值;
2 框架-剪力墙结构或框架-核心筒结构房屋的伸缩缝间距,可根据结构的具体布置情况取表中框架结构与剪力墙结构之间的数值;
3 当屋面无保温或隔热措施时,框架结构、剪力墙结构的伸缩缝间距按表中露天栏的数值取用;
4 现浇挑檐、雨罩等外露结构的局部伸缩缝间距不宜大于12m。
7.1.2 对于伸缩缝最大间距适当减小或适当增大的条件,宜按现行国家标准《混凝土结构设计规范》GB 50010的有关规定执行。
7.1.3 构件中普通钢筋及预应力筋的混凝土保护层厚度(最外层钢筋外边缘至混凝土表面的距离)应符合下列规定:
1 人造轻骨料混凝土保护层厚度应与普通混凝土相同;
2 自燃煤矸石混凝土和火山渣混凝土的保护层厚度应符合下列规定:
1) 一类环境下应与普通混凝土相同;
2) 二类、三类环境下,保护层最小厚度应按普通混凝土的要求增加5mm。
7.1.4 当计算中充分利用钢筋的抗拉强度时,轻骨料混凝土结构构件受拉钢筋的基本锚固长度lab应按普通混凝土的受拉钢筋基本锚固长度计算;轻骨料混凝土结构构件受拉钢筋的锚固长度la应按普通混凝土受拉钢筋的锚固长度乘以增大系数计算:对砂轻混凝土应取1.15,对全轻混凝土应取1.3。计算受拉钢筋基本锚固长度时,当轻骨料混凝土强度等级高于LC40时,轻骨料混凝土轴心抗拉强度设计值按LC40取值。乘以增大系数后的受拉钢筋锚固长度不应小于300mm。
7.1.5 当计算中允分利用纵向钢筋的抗压强度时,其锚固长度不应小于本标准第7.1.4条规定的受拉锚固长度的0.7倍。受压钢筋不应采用末端弯钩和一侧贴焊锚筋的锚固措施。受压钢筋锚固长度范围内的横向构造钢筋应符合现行国家标准《混凝土结构设计规范》GB 50010的有关规定。
7.1.6 轻骨料混凝土构件中的纵向受力钢筋绑扎搭接接头的搭接长度应符合现行国家标准《混凝土结构设计规范》GB 50010的有关规定,且纵向受拉钢筋绑扎搭接接头的搭接长度不应小于350mm,纵向受压钢筋搭接接头的搭接长度不应小于250mm。
7.1.7 钢筋轻骨料混凝土结构构件中纵向受力钢筋的最小配筋率应按现行国家标准《混凝土结构设计规范》GB 50010的有关规定执行;当轻骨料混凝土强度等级为LC50及以上时,受压构件全部纵向钢筋最小配筋率应增大0.1%。
7.1.8 预应力轻骨料混凝土构件的构造应符合现行国家标准《混凝土结构设计规范》GB 50010的有关规定。
7.1.9 对先张法预应力轻骨料混凝土构件,预应力筋端部周围的混凝土尚应采取下列加强措施:
1 对单根配置的预应力筋,其端部宜设置长度不小于200mm且不少于5圈的螺旋筋;当有可靠经验时,亦可利用支座垫板上的插筋代替螺旋筋,但插筋数量不应少于4根,其长度不宜小于120mm;
2 对分散布置的多根预应力筋,在构件端部15d范围内应设置与预应力筋垂直的钢筋网,钢筋网间距不宜大于50mm,d为预应力筋的公称直径;
3 对采用预应力钢丝配筋的薄板,在板端150mm范围内应适当加密横向钢筋,且不宜少于3根;
4 槽形板类构件,应在构件端部150mm长度范围内沿构件板面设置附加横向钢筋,其数量不应少于3根。
7.1.10 轻骨料混凝土叠合构件应符合现行国家标准《混凝土结构设计规范》GB 50010的有关规定。
7.1.11 轻骨料混凝土压型钢板组合楼板应符合国家现行标准《钢结构设计标准》GB 50017和《高层民用建筑钢结构技术规程》JGJ 99的有关规定。
7.2 构件规定
7.2.1 简支板或连续板的下部纵向受力钢筋伸入支座的锚固长度不应小于钢筋直径的6倍,且宜伸过支座中心线。当连续板内温度、收缩应力较大时,伸入支座的锚固长度宜适当增加。
7.2.2 钢筋轻骨料混凝土简支梁和连续梁简支端的下部纵向受力钢筋,从支座边缘算起伸入支座内的锚固长度las(图7.2.2)应符合下列规定:

1 当V不大于0.6ftbh0时,锚固长度不应小于10d;当V大于0.6ftbh0时,对带肋钢筋锚固长度不应小于15d,对光圆钢筋不应小于20d,d为钢筋的最大直径;
2 纵向受力钢筋伸入梁支座范围内的锚固长度不符合本条第1款规定时,可采取弯钩或机械锚固措施,并应符合现行国家标准《混凝土结构设计规范》GB 50010的有关规定;
3 强度等级为LC25及以下的简支梁和连续梁的简支端,当距支座边1.5h范围内作用有集中荷载,且V大于0.6ftbh0时,对带肋钢筋宜采取有效的锚固措施,或取锚固长度不小于20d,d为锚固钢筋的直径。
7.2.3 钢筋轻骨料混凝土梁支座截面负弯矩纵向受拉钢筋不宜在受拉区截断。当必须截断时,应符合下列规定:
1 当V不大于0.6ftbh0时,应延伸至按正截面受弯承载力计算不需要该钢筋的截面以外不小于25d处截断,且从该钢筋强度充分利用截面伸出的长度不应小于1.2la;
2 当V大于0.6ftbh0时,应延伸至按正截面受弯承载力计算不需要该钢筋的截面以外不小于h0且不小于25d处截断,且从该钢筋强度充分利用截面伸出的长度不应小于1.2la。与h0之和;
3 若按本条第1款、第2款规定确定的截断点仍位于负弯矩对应的受拉区内,则应延伸至按正截面受弯承载力计算不需要该钢筋的截面以外不小于1.3h0且不小于25d处截断,且从该钢筋强度充分利用截面伸出的延伸长度不应小于1.2la与1.7h0之和。
7.2.4 在轻骨料混凝土悬臂梁中,应有不少于2根上部钢筋伸至悬臂梁外端,并向下弯折不应小于15d;其余钢筋不应在梁的上部截断,应按本标准第7.2.6条规定的弯起点位置向下弯折,并应按本标准第7.2.5条的规定在梁的下边锚固。
7.2.5 在轻骨料混凝土梁中,宜采用箍筋作为承受剪力的钢筋。
当采用弯起钢筋时,其弯起角宜取45°或60°;在弯起钢筋的弯终点外应留有平行于梁轴线方向的锚固长度,在受拉区不应小于25d,在受压区不应小于15d,此处,d为弯起钢筋的直径;梁底层钢筋中的角部钢筋不应弯起。当梁顶部无现浇板时,顶层钢筋中的角部钢筋不应弯下。
7.2.6 轻骨料混凝土梁中弯起钢筋应符合下列规定:
1 受拉区中,弯起钢筋的弯起点可设在按正截面受弯承载力计算不需要该钢筋的截面之前,但弯起钢筋与梁中心线的交点应位于不需要该钢筋的截面之外(图7.2.6);同时,弯起点与按计算充分利用该钢筋的截面之间的距离不应小于h0/2。

2 当按计算需要设置弯起钢筋时。前一排的弯起点至后一排的弯终点的距离不应大于本标准表7.2.8中V大于(0.6ftbh0+0.04Np0)一栏规定的箍筋最大间距。
3 弯起钢筋不应采用浮筋。
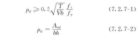
7.2.7 梁内受扭纵向钢筋的配筋率ρtl应符合下列公式规定,当T/(Vb)大于2.0时,T/(Vb)取2.0。

式中:ρtl——受扭纵向钢筋的配筋率;
b——受剪的截面宽度(mm),按本标准第6.6.1条的规定取用;
Astl——沿截面周边布置的受扭纵向钢筋总截面面积(mm2)。
7.2.8 梁中箍筋应符合下列规定:
1 梁中箍筋的最大间距宜符合表7.2.8的规定,箍筋的配筋率ρsv应按下式计算,且当V大于(0.6ftbh0+0.04Np0)时,ρsv尚不应小于0.24ft/fyv。

2 梁中箍筋尚应符合现行国家标准《混凝土结构设计规范》GB 50010的有关规定。
表7.2.8 梁中箍筋的最大间距(mm)

7.2.9 柱中纵向受力钢筋直径d不宜小于12mm,但不宜大于32mm,且全部纵向钢筋的配筋率不宜大于5%。
7.2.10 框架梁柱节点的钢筋构造除应符合现行国家标准《混凝土结构设计规范》GB 50010的有关规定外,尚应符合下列规定:
1 纵向受拉钢筋的锚固长度la应符合本标准第7.1.4条的规定;
2 对于通过中间节点或中间支座的框架梁或连续梁的下部纵向钢筋。当计算中不利用该钢筋的强度时,其伸入节点或支座的锚固长度应符合本标准第7.2.2条中V大于0.6ftbh0时的规定。
7.2.11 剪力墙配筋构造应符合现行国家标准《混凝土结构设计规范》GB 50010的有关规定。
8 结构构件抗震设计8.1 一般规定
8.1.1 有抗震设防要求的钢筋轻骨料混凝土和预应力轻骨料混凝土结构构件,除应符合本标准第1章至第7章的要求外,尚应根据现行国家标准《混凝土结构设计规范》GB 50010和《建筑抗震设计规范》GB 50011规定的抗震设计原则,按本章的规定进行结构构件的抗震设计。
8.1.2 考虑地震作用组合的轻骨料混凝土结构构件,其正截面抗震承载力应按本标准第6章的规定计算,但应在相关承载力计算公式右端除以相应的承载力抗震调整系数γRE,γRE应按现行国家标准《混凝土结构设计规范》GB 50010确定取值。
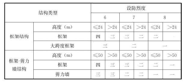
8.1.3 轻骨料混凝土房屋应根据设防烈度、结构类型、房屋高度采用不同的抗震等级,并应符合相应的计算和构造措施规定。
标准设防类别(丙类)建筑的抗震等级应按表8.1.3确定;其他设防类别的建筑,应按现行国家标准《建筑抗震设计规范》GB 50011调整设防烈度,再按表8.1.3确定抗震等级。
表8.1.3 轻骨料混凝土房屋抗震等级

续表8.1.3

注:1 建筑场地为I类时,除6度设防外,应允许按本地区设防烈度降低一度所对应的抗震等级采取抗震构造措施,但相应的计算要求不应降低;
2 框架-剪力墙结构,当按基本振型计算地震作用时,若框架部分承受的地震倾覆力矩大于结构总地震倾覆力矩的50%,框架部分应按表中框架结构相应的抗震等级设计;
3 大跨度框架指跨度不小于18m的框架;
4 接近或等于高度分界时,应允许结合房屋不规则程度及场地、地基条件确定抗震等级。
8.1.4 特殊设防类别、重点设防类别建筑按规定提高一度确定其抗震等级时,当其高度超过对应的房屋最大适用高度时,则应采取比相应抗震等级更有效的抗震构造措施。
8.1.5 有抗震设防要求的轻骨料混凝土结构构件,其纵向受力钢筋的锚固和连接接头,除应符合本标准第7章的有关规定外,尚应符合现行国家标准《混凝土结构设计规范》GB 50010和《建筑抗震设计规范》GB 50011的规定,其中纵向受拉钢筋的锚固长度laE正应符合本标准第7.1.4条的规定。
8.1.6 有抗震设防要求的预应力轻骨料混凝土构件和轻骨料混凝土板柱节点尚应符合现行国家标准《混凝土结构设计规范》GB 50010的有关规定。
8.2 框架梁、框架柱及节点
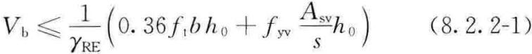
8.2.1 考虑地震作用组合的框架梁,当跨高比l0/h大于2.5时,其受剪截面应符合下式规定:

式中:Vb——框架梁端剪力设计值(N),应按现行国家标准《混凝土结构设计规范》GB 50010的规定计算;
γRE——承载力抗震调整系数,应按现行国家标准《混凝土结构设计规范》GB 50010的规定取用。
8.2.2 考虑地震作用组合的矩形、T形和I形截面的框架梁,其斜截面受剪承载力应符合下列规定:
1 一般框架梁应按下式验算:

2 集中荷载作用下的框架梁应按下式验算:

式中:λ——计算截面的剪跨比,λ可取a/h0,a为集中荷载作用点至节点边缘的距离,当λ小于1.5时,λ取1.5;当λ大于3时,λ取3。
8.2.3 考虑地震作用组合的框架柱受剪截面应符合下列规定:
1 剪跨比λ大于2的框架柱,受剪截面应符合下式的规定:

式中:Vc——框架柱的剪力设计值,应按现行国家标准《混凝土结构设计规范》GB 50010的规定计算。
2 剪跨比λ不大于2的框架柱,受剪截面应符合下式的规定:

8.2.4 考虑地震作用组合的框架柱的斜截面抗震受剪承载力应符合下列规定:

式中:λ——框架柱的计算剪跨比,λ取M/(Vh0);此处,M宜取柱上、下端考虑地震作用组合的弯矩设计值的较大值,V取与M对应的剪力设计值,h0为柱截面有效高度;当框架结构中的框架柱的反弯点在柱层高范围内时,λ可取λHn/(2h0),此处,Hn为柱净高;当λ小于1.0时,λ取1.0;当λ大于3.0,λ取3.0;
N——考虑地震作用组合的框架柱轴向压力设计值,当N大于0.3fcA时,N取0.3fcA。
8.2.5

式中:N——考虑地震作用组合的框架柱轴向拉力设计值(N)。
8.2.6 一、二、三、四级抗震等级各类构件的框架柱的轴压比N/(fcA)不宜大于表8.2.6的限值,对Ⅳ类场地上较高的高层建筑,柱轴压比限值应适当减小。
表8.2.6 框架柱轴压比限值

注:1 轴压比N/(fcA)指考虑地震作用组合的框架柱轴向压力设计值N与柱全截面面积A和混凝土轴心抗压强度设计值fc乘积之比值;对不进行地震作用计算的结构,取无地震作用组合的轴力设计值;
2 当混凝土强度等级为LC50及以上时,轴压比限值宜按表中数值减小0.05;
3 剪跨比λ不大于2的框架柱,其轴压比限值应按表中数值减小0.05;剪跨比λ小于1.5的框架柱,轴压比限值应专门研究并采取特殊构造措施;
4 沿柱全高采用井字复合箍,且箍筋间距不大于100mm、肢距不大于200mm、直径不小于12mm时,轴压比限值可按表中数值增加0.05;箍筋的体积配筋率均应按本标准第8.2.7条确定;
5 当柱截面中部设置由附加纵向钢筋形成的芯柱,且附加纵向钢筋的总面积不少于柱截面面积的0.8%时,其轴压比限值可按表中数值增加0.05。此项措施与注4的措施同时采用时,轴压比限值可按表中数值增加0.10。
8.2.7 框架柱的钢筋配置、箍筋加密区箍筋的体积配筋率应符合现行国家标准《混凝土结构设计规范》GB 50010的有关规定,并应符合下列规定:
1 计算柱箍筋加密区箍筋的体积配筋率时。当轻骨料混凝土强度等级低于LC35时,轻骨料混凝土轴心抗压强度设计值应按LC35取值;
2 当轻骨料混凝土强度等级为LC50及以上时,箍筋宜采用复合箍;当轴压比不大于0.5时,其加密区的最小配箍特征值宜按表8.2.7中数值增加0.02;当轴压比大于0.5时,宜按表8.2.7中数值增加0.03。
表8.2.7 柱箍筋加密区的箍筋最小配箍特征值λv

8.2.8 一、二、三级抗震等级的框架应进行节点核心区抗震受剪承载力计算。四级抗震等级的框架节点核心区可不进行计算,但应符合抗震构造措施的规定。框架梁柱节点的受剪承载力计算及构造应符合下列规定:
1 受剪的水平截面限制应按下式验算:

式中:Vj——框架梁柱节点核心区考虑抗震等级的剪力设计值(N),应按现行国家标准《混凝土结构设计规范》GB 50010的有关规定计算;
hj——框架节点核心区的截面高度(mm),可取验算方向的柱截面高度,即hj可取为hc;
bj——框架节点核心区的截面有效验算宽度(mm),当bb不小于bc/2时,可取bj等于bc;当bb小于bc/2时,可取(bb+0.55hc)和bc中的较小值。当梁与柱的中线不重合,且偏心距e0不大于bc/4时,可取(0.5bb+0.5bc+0.25hc-e0)、(bb+0.5hc)和bc三者中的最小值;此处,bb为验算方向梁截面宽度,bc为该侧柱截面宽度;
ηj——正交梁对节点的约束影响系数,当楼板为现浇、梁柱中线重合、四侧各梁截面宽度不小于该侧柱截面宽度的1/2,且正交方向梁高度不小于较高框架梁高度的3/4时,ηj可取1.5;当不满足上述约束条件时,ηj应取1.0。
2 受剪承载力应按下式验算:

式中:N——对应于考虑地震作用组合剪力设计值的节点上柱底部的轴向力设计值(N):当N为压力时,取轴向压力设计值的较小值,且当N大于0.5fcbchc时,N取0.5fcbchc;当N为拉力时,N取0;
Asvj——核心区有效验算宽度范围内同一截面验算方向箍筋各肢的全部截面面积(mm2);
hb0——梁截面有效高度(mm),节点两侧梁截面高度不等时取平均值。
3 对一、二、三级抗震等级,框架中间层的中间节点处,梁内贯穿中柱的每根纵向钢筋直径不宜大于柱在该方向截面尺寸的1/25;框架顶层中间节点处,贯穿顶层中柱的梁上部纵向钢筋直径不宜大于柱在该方向截面尺寸的1/30。当采取可靠的机械锚固措施时,可适当放宽。
8.2.9 预应力轻骨料混凝土框架梁的抗震设计应符合现行国家标准《混凝土结构设计规范》GB 50010的有关规定。
8.3 剪 力 墙
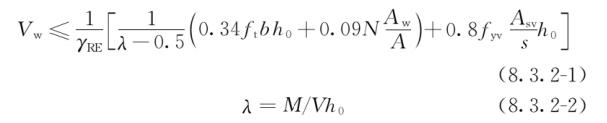
8.3.1 考虑地震作用组合的剪力墙的受剪截面应符合下列规定:
1 当剪跨比λ大于2.5时,应按下式验算:

2 当剪跨比λ不大于2.5时,应按下式验算:

式中:Vw——剪力墙的剪力设计值(N),应按现行国家标准《混凝土结构设计规范》GB 50010的有关规定计算。
8.3.2 考虑地震作用组合的剪力墙在偏心受压时的斜截面抗震受剪承载力,应符合下式规定:

式中:N——考虑地震作用组合的剪力墙轴向压力设计值中的较小值(N);当N大于0.2fcbh时,N取0.2fcbh;
λ——计算截面处的剪跨比,当λ小于1.5时,λ取1.5,当λ大于2.2时,λ取2.2;此处,M为与剪力设计值V对应的弯矩设计值;当计算截面与墙底之间的距离小于h0/2时,λ应按距墙底h0/2处的弯矩设计值与剪力设计值计算。
8.3.3

式中:N——考虑地震作用组合的剪力墙轴向拉力设计值中的较大值(N);
λ——计算截面处的剪跨比。按本标准第8.3.2条取用。
8.3.4 剪力墙洞口连梁的承载力应符合下列规定:
1 连梁的正截面抗震受弯承载力应按本标准第6章的规定计算,但相关计算公式右端应除以相应的承载力抗震调整系数γRE。
2 连梁的受剪截面应符合下列规定:
1) 跨高比ln/h大于2.5时

2) 跨高比ln/h不大于2.5时

3 连梁的斜截面抗震受剪承载力应符合下列规定:
1) 跨高比ln/h大于2.5时

2) 跨高比ln/h不大于2.5时

式中:ln——连梁的净跨(mm);
Vwb——连梁的剪力设计值(N),应按现行国家标准《混凝土结构设计规范》GB 50010对框架梁的规定计算。
4 对一、二级抗震等级各类结构中的剪力墙连梁,当跨高比ln/h不大于2.0且连梁截面宽度不小于200mm时,除普通箍筋外,宜另设斜向交叉构造钢筋。
5 对一、二级抗震等级简体结构内筒及核心筒连梁,当其跨高比不大于2.0且截面宽度不小于400mm时,宜采用斜向交叉暗柱配筋,全部剪力由暗柱纵向钢筋承担,并应按框架梁构造规定设置箍筋。
8.3.5 剪力墙端部设置的约束边缘构件的构造措施应符合现行国家标准《混凝土结构设计规范》GB 50010的规定。当轻骨料混凝土强度等级为LC55、LC60时,一、二级抗震等级的剪力墙约束边缘构件配箍特征值λv应按现行国家标准《混凝土结构设计规范》GB 50010所规定数值增加0.02。
9 生产与施工9.1 一般规定
9.1.1 预拌轻骨料混凝土的生产与施工除应符合本标准的规定外,尚应符合国家现行标准《混凝土结构工程施工规范》GB 50666、《预拌混凝土》GB/T 14902和《预拌混凝土绿色生产及管理技术规程》JGJ/T 328等的规定;对于装配式轻骨料混凝土结构,尚应符合国家现行标准《装配式混凝土建筑技术标准》GB/T 51231和《装配式混凝土结构技术规程》JGJ 1的有关规定。
9.1.2 无砂或少砂轻骨料混凝土的生产与施工应按本标准附录A的规定执行。
9.1.3 轻骨料在使用前的预湿处理应符合下列规定:
1 对泵送施工,应充分预湿;对非泵送施工,可根据工程情况确定预湿程度;
2 对吸水率不大于5%的轻骨料,当有可靠经验时,可不进行预湿;
3 当气温低于5℃时,不宜进行预湿;
4 拌制轻骨料混凝土前,预湿的轻骨料宜充分沥水。
9.1.4 轻骨料混凝土不宜冬期施工。
9.1.5 对后张法预应力轻骨料混凝土结构构件,在预应力张拉前,宜根据同条件下轻骨料混凝土表观密度、抗压强度和弹性模量的实测结果进行验算,并调整张拉控制应力。
9.2 原材料进场
9.2.1 水泥、矿物掺合料、河砂和人工砂、外加剂等原材料进场应符合现行国家标准《混凝土质量控制标准》GB 50164和《混凝土结构丁程施工规范》GB 50666的规定。
9.2.2 轻骨料的进场应符合下列规定:
1 轻骨料供应方应提供型式检验报告、出厂检验报告和出厂合格证;
2 轻骨料进场时,应按本标准第10章的规定进行进场检验,并应检验和确认方量;对配制不低于LC30强度等级的结构用轻骨料混凝土的轻粗骨料,还应检验其强度标号;
3 轻骨料的运输和堆放应符合下列规定:
1) 轻骨料应按不同品种分批运输和堆放,避免混杂;
2) 轻粗骨料应保持颗粒混合均匀,减少离析;采用连续级配时,堆放高度不宜超过2m,并应防止树叶、泥土和其他有害物质混入;
3) 轻砂应采取防雨、防扬尘的措施。
9.3 计 量
9.3.1 原材料计量应采用电子计量设备。计量设备的精度应符合现行国家标准《建筑施工机械与设备 混凝土搅拌站(楼)》GB/T 10171的规定。混凝土生产每一工作班开始前,应对计量设备进行零点校准。
9.3.2 轻骨料混凝土各组分材料应按质量计量;计量的允许偏差应符合表9.3.2的规定,计量偏差应每班检查1次。
表9.3.2 各种原材料计量的允许偏差(%)

9.3.3 在生产过程中,对预湿处理的轻骨料。应测定湿堆积密度;对未预湿处理的轻骨料,应测定含水率和堆积密度。含水率、堆积密度测定应符合下列规定:
1 应在批量拌制轻骨料混凝土拌合物前进行测定;
2 在生产过程中应设定批量进行抽查测定;
3 雨天施工或发现拌合物稠度反常时应及时测定。
9.3.4 当轻骨料的含水率和堆积密度发生变化时,应及时调整粗、细骨料和拌合用水的用量。
9.4 搅 拌
9.4.1 轻骨料混凝土应采用强制式搅拌机搅拌,并应搅拌均匀。
9.4.2 搅拌轻骨料混凝土时的投料搅拌顺序宜符合下列规定:
1 当采用预湿的轻骨料时,宜先加入骨料和胶凝材料预先搅拌,之后加入外加剂和净用水进行搅拌,直至搅拌均匀;
2 当采用未预湿的轻骨料时,宜先加入骨料、矿物掺合料和1/2总用水预先搅拌,之后加入水泥、外加剂和剩余的水进行搅拌,直至搅拌均匀。
9.4.3 轻骨料混凝土的搅拌时间宜符合下列规定:
1 当采用预湿的轻骨料时,投料全部结束后搅拌不宜少于60s;
2 当采用未预湿的轻骨料时,投料全部结束后搅拌不宜少于120s:
3 当能保证搅拌均匀时,可缩短搅拌时间。
9.5 运 输
9.5.1 在运输过程中,应减少坍落度损失和防止轻骨料混凝土拌合物分层离析。
9.5.2 当采用搅拌罐车运输轻骨料混凝土拌合物时,卸料前宜采用快挡旋转搅拌罐不少于20s。因运距过远、交通或现场等问题造成坍落度损失较大而卸料困难时,可采用在混凝土拌合物中掺入减水剂并快挡旋转搅拌罐的措施,减水剂掺量应有经试验确定的预案。
9.5.3 拌合物从搅拌机卸料起到浇入模内止的延续时间不宜超过90min。
9.5.4 泵送轻骨料混凝土拌合物入泵时的坍落度值宜为150mm~220mm。坍落度的检验方法应符合现行国家标准《普通混凝土拌合物性能试验方法标准》GB/T 50080的有关规定。
9.5.5 轻骨料混凝土宜采用泵送方式,并在泵送施工前应进行试泵。
9.6 浇筑成型
9.6.1 柱、墙模板内的混凝土浇筑不应发生离析。轻骨料混凝土拌合物浇筑倾落的自由高度不应超过1.5m;当倾落高度大于1.5m时,应加设串筒、斜槽、溜管等装置。
9.6.2 轻骨料混凝土的振捣应符合下列规定:
1 对现浇结构轻骨料混凝土,应采用振捣棒等机械振捣成型;对能满足施工和强度要求的结构保温轻骨料混凝土,也可采用插捣成型。
2 对保温轻骨料混凝土,可采用插捣成型。
3 浇筑上表面积较大的构件,其厚度在200mm以下,可采用表面振动成型。厚度大于200mm,宜先用插入式振捣器振捣密实后再采用表面振捣。
4 对采用干硬性轻骨料混凝土的制品构件,应采用振动台表面加压成型。
5 用插入式振捣器振捣时,插入间距不应大于棒的振动作用半径的一倍。连续多层浇筑时,插入式振捣器应插入下层拌合物约50mm。
6 振捣时间不宜过长,可在10s~30s之间选用,以拌合物表面泛浆为宜。
9.6.3 对现浇竖向构件,应分层浇筑,且分层厚度不宜大于300mm。
9.6.4 浇筑成型结束后,宜采用拍板、刮板、辊子或振动抹子等工具及时将浮在表层的轻粗骨料颗粒压入混凝土内,颗粒上浮面积较大时,可采用表面振动器复振,使砂浆返上,然后再作抹面。
9.6.5 混凝土构件成型后,在强度达到1.2MPa以前,不得在构件上踩踏、堆放物料。
9.6.6 当柱的轻骨料混凝土强度等级高于梁、板,或柱和梁、板分别采用普通混凝土和轻骨料混凝土时,混凝土的接缝应设置在梁、板中,接缝至柱边的距离不应小于梁、板高度。
9.7 养护和缺陷修补
9.7.1 轻骨料混凝土浇筑成型后应及时覆盖和保湿养护。
9.7.2 轻骨料混凝土采用自然养护时,应符合下列规定:
1 采用普通硅酸盐水泥和硅酸盐水泥拌制的轻骨料混凝土,湿养护时间不应少于7d;用矿渣水泥、粉煤灰水泥、火山灰水泥拌制的轻骨料混凝土及在施工中掺缓凝型外加剂的混凝土,湿养护时间不应少于14d;
2 轻骨料混凝土可采用塑料薄膜覆盖或喷洒混凝土塑性阶段水分蒸发抑制剂养护。
9.7.3 轻骨料混凝土构件采用蒸汽养护时,应符合下列规定:
1 养护应分为静停、升温、恒温和降温四个阶段;混凝土成型后的静停时间不宜少于2h,升温速度不宜超过25℃/h,降温速度不宜超过20℃/h,最高和恒温温度不宜超过65℃;
2 混凝土构件在出池或撤除养护措施前,应进行温度测量,当表面与外界温差不大于20℃时.构件方可出池或撤除养护措施。
9.7.4 结构保温轻骨料混凝土和保温类轻骨料混凝土的表面缺陷,宜采用原配合比的轻骨料混凝土中的砂浆修补;结构轻骨料混凝土的表面缺陷可用水泥砂浆修补。
10 质量检验和验收10.1 原材料质量检验
10.1.1 轻骨料混凝土原材料进场时,应按规定批次验收型式检验报告、出厂检验报告或合格证等质量证明文件,并按检验批量随机取样进行原材料进场检验。
10.1.2 轻骨料进场时,应提供出厂检验报告和最近一次的型式检验报告,并按现行国家标准《轻集料及其试验方法 第1部分:轻集料》GB/T 17431.1和《轻集料及其试验方法 第2部分:轻集料试验方法》GB/T 17431.2的规定进行复验。轻骨料检验项目应符合下列规定:
1 对于轻粗骨料,检验项目应包括颗粒级配、堆积密度、筒压强度和吸水率;对自燃煤矸石,尚应包括烧失量和三氧化硫含量;
2 对于轻细骨料,检验项目应包括颗粒级配、堆积密度、吸水率。
10.1.3 轻骨料检验批量应符合下列规定:
1 轻骨料应按种类、品种、密度等级分别划分批量;
2 同一类别、同一规格且同密度等级轻骨料应每200m3为一批;
3 不同批次或非连续供应的不足一个检验批量时,应作为一个检验批。
10.1.4 其他原材料的检验项目和检验批量应符合下列规定:
1 水泥、矿物掺合料、外加剂、河砂、人工砂、水等原材料的检验项目和检验批量应符合现行国家标准《混凝土质量控制标准》GB 50164的规定;
2 钢筋、预应力筋的检验项目和检验批量应符合现行国家标准《混凝土结构工程施工质量验收规范》GB 50204的规定;
3 不同批次或非连续供应的不足一个检验批量时,应作为一个检验批。
10.1.5 当符合下列条件之一时,可将原材料检验批量扩大一倍。
1 对经产品认证机构认证符合要求的产品;
2 来源稳定且连续三次检验合格;
3 同一厂家的同批出厂材料,用于同时施工且属于同一工程项目的多个单位工程。
10.1.6 轻骨料混凝土原材料的检验结果应符合本标准第4.1节的规定以及工程要求。
10.2 轻骨料混凝土性能检验
10.2.1 轻骨料混凝土拌合物性能检验应符合下列规定:
1 在生产施工过程中,应在搅拌地点和浇筑地点分别对轻骨料混凝土拌合物进行抽样检验;
2 拌合物坍落度检验频率应符合现行国家标准《混凝土强度检验评定标准》GB/T 50107的规定;
3 拌合物表观密度检验频率应与坍落度检验频率一致;
4 同一工程、同一配合比、采用同一批次水泥和外加剂的轻骨料混凝土凝结时间应至少检验1次;
5 同一工程、同一配合比的轻骨料混凝土氯离子含量应至少检验1次。
10.2.2 硬化轻骨料混凝土性能检验应符合下列规定:
1 强度检验评定应符合现行国家标准《混凝土强度检验评定标准》GB/T 50107的规定,其他力学性能检验应符合现行国家标准《普通混凝土力学性能试验方法标准》GB/T 50081的有关规定和设计要求;
2 干表观密度的检验频率与拌合物的湿表观密度检验频率一致;允许根据干表观密度和湿表观密度相关关系,在检验湿表观密度间接控制干表观密度的基础上,可减少直接检验干表观密度的频率;
3 耐久性能检验评定应符合现行行业标准《混凝土耐久性检验评定标准》JGJ/T 193的规定;
4 长期性能检验规则可按现行行业标准《混凝土耐久性检验评定标准》JGJ/T 193中耐久性检验的有关规定执行;
5 保温和结构保温轻骨料混凝土热工性能等其他检验项目及其检验频率应符合设计要求。
10.2.3 轻骨料混凝土拌合物性能、力学性能、长期性能和耐久性能的测定,应分别符合现行国家标准《普通混凝土拌合物性能试验方法标准》GB/T 50080、《普通混凝土力学性能试验方法标准》GB/T 50081和《普通混凝土长期性能和耐久性能i式验方法标准》GB/T 50082的规定;轻骨料混凝土的干表观密度、吸水率、软化系数、导热系数和线膨胀系数等性能的测定应符合本标准附录B的规定。
10.2.4 轻骨料混凝土性能的检验结果应符合本标准第4.2节的规定以及设计与施工的要求。
10.3 验 收
10.3.1 轻骨料混凝土结构混凝土分项工程、子分部工程的验收,除应符合本标准的规定外,尚应符合现行国家标准《混凝土结构工程施工质量验收规范》GB 50204的有关规定。
10.3.2 对装配式轻骨料混凝土结构,尚应符合国家现行标准《装配式混凝土建筑技术标准》GB/T 51231和《装配混凝土结构技术规程》JGJ 1的有关规定。
附录A 大孔轻骨料混凝土
A.1 一般规定
A.1.1 大孔轻骨料混凝土的生产和应用应符合本附录的有关规定。
A.1.2 大孔轻骨料混凝土的强度等级应划分为LC2.5、LC3.5、LC5.0、LC7.5和LC10.0五个强度等级;干表观密度应符合本标准第4.2.2条的规定。
A.2 轻粗骨料技术要求
A.2.1 轻粗骨料级配宜采用5mm~10mm或10mm~16mm单粒级。
A.2.2 轻粗骨料的密度等级和强度应根据工程设计采用的大孔轻骨料混凝土的需求选用。
A.2.3 轻粗骨料其他技术性能应符合现行国家标准《轻集料及其试验方法第1部分:轻集料》GB/T 17431.1的规定。
A.3 配合比及试配
A.3.1 大孔轻骨料混凝土的配制强度应按下式验算:

式中:fcu,0——轻骨料混凝土配制强度(N/mm2);
fcu,k——轻骨料混凝土立方体抗压强度标准值(N/mm2),取混凝土的设计强度等级值。
A.3.2 每立方米大孔轻骨料混
-
- 华野七纵队司令员是谁(华野三纵司令部作战科长魏学诚战地日记⑤)
-
2024-10-27 12:25:50
-
- 性能力减退的先兆有哪些 如何提升男人性能力
-
2024-08-26 14:38:33
-
- 性爱时男人最想听到的声音 你会几个
-
2024-08-26 14:36:28
-
- 我深爱的老公,竟然一直跟一个女人深夜聊骚
-
2024-08-26 14:34:23
-
- 挖掘水瓶男内心,看看TA究竟喜欢哪种类型的女人
-
2024-08-26 14:32:18
-
- 什么性格女人容易出轨
-
2024-08-26 14:30:14
-
- 射手座男人爱你的细节,非常喜欢你的征兆
-
2024-08-26 14:28:08
-
- 如何用手让女人达到高潮 刺激女人哪些部位效果好
-
2024-08-26 14:26:04
-
- 如果梦见老公出轨的细节代表着什么
-
2024-08-26 14:23:59
-
- 女人长时间禁欲不太好 女人长时间禁欲有6个坏处
-
2024-08-26 14:21:54
-
- 女人下面肥做起来舒服 女人下面很肥大很舒服好不好
-
2024-08-26 14:19:49
-
- 老公鬼迷心窍出轨了怎么办,老公鬼迷心窍出轨了怎么办?
-
2024-08-25 13:38:10
-
- 老公出轨后回归我该怎么相处,老公出轨回归更爱我了
-
2024-08-25 13:36:05
-
- 老公出轨后回归家庭,和小三藕断丝连
-
2024-08-25 13:34:00
-
- 很爱自己老公为什么还会出轨,为什么会出轨?难道爱不够吗?
-
2024-08-25 13:31:55
-
- 和出轨的老公怎么相处,如何与出轨的老公相处?
-
2024-08-25 13:29:50
-
- 爱情回来了经典话语:女人一定是要结婚的(精选29句)
-
2024-08-25 13:27:45
-
- 怎么收拾双子座老公 如何挽回外遇的双子座老公
-
2024-08-25 13:25:40
-
- 如何了解女性思维和提高情商?(女人如何提高情商)
-
2024-08-25 13:23:34
-
- 女人这6句口是心非的话,情商高的男人才会懂!
-
2024-08-25 13:21:29



40岁女人最想要的16种礼物(40岁女人性生活几天一次算正常)
女人的阴毛有什么作用?女性的12种阴毛类型
消失的夫妻4人详细真实笔录知乎002 消失的夫妻4人详细真实笔录知乎图片
8开纸和a4纸图片对比,8K和A4纸有什么区别哪个大
说女的沙什么意思 分手说沙什么意思
两位领导的座位安排怎么排 两名领导座次应该怎样安排
抖音私密账号是什么?看完这篇就知道了!
国际标准视力表(国际标准视力表近视力检查距离)
80后100款经典街机游戏名字(街机游戏合集10000合一)
手机漏液20秒修复是怎么回事(手机漏液20秒修复是怎么回事儿)