回首“姜育恒”经典专辑——跟往事干杯
回首“姜育恒”经典专辑——跟往事干杯
1988年由台湾飞碟唱片所推出的“姜育恒”经典专辑《跟往事干杯》!他在87年从“光美唱片”转到飞碟唱片,这张专辑是他在飞碟唱片的第二张专辑,对他来说这也无疑是他音乐生涯的一次重要转折点。

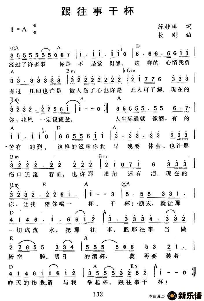
专辑共收录了十首歌曲,专辑的同名主打歌《跟往事干杯》,这首歌曾经风靡了大街小巷,但这是姜育恒翻唱的一首歌曲,原唱是日本音乐人“长渕yuān刚”的作品,由曾为童安格填写了《其实你不懂我的心》的台湾作词人“陈桂珠”重新填词;这首歌之所以能成为经典,少不了陈桂珠的精彩中文填词的功劳。

说实话,《跟往事干杯》这首歌呢,真的太适合姜育恒了,熟悉姜育恒的歌迷朋友应该都知道,他是一个非常爱喝酒的人,而且呢,他在录歌之前一直有一个习惯,就是他会喝一点点红酒来调整自己的情绪,然后找到最好的录音的状态;在这个专辑的歌词本当中还有这样的一段话,说他不是经常纵酒放歌的人,也不是个会对生活发出呐喊的人,他常常轻浅但深刻地唱些你心里的话,也总是在最深冷的夜里独自浅酌。

姜育恒(Johnny),1958年11月15日出生于韩国首尔,祖籍山东荣成,中国台湾男歌手。
1984年,发行首张个人专辑《孤独之旅》;1985年,发行专辑《但愿长醉》,入闱金嗓奖最佳男歌手奖;1989年,发行专辑《多年以后·再回首》 ,其中主打歌曲《再回首》走红并因在1991年的央视春晚上演唱而在中国大陆为人熟知 ;1992年11月,凭借专辑《一个人》获得第三届金曲奖最佳演唱专辑奖。2004年11月,受邀赴美国参加洛杉矶AM1300华语电台十周年台庆晚会,并获洛杉矶AM1300电台颁发”亚洲最受欢迎艺人奖”、 洛杉矶县政委员会颁发”亚洲杰出艺人奖”、洛杉矶阿凯迪亚市颁发”荣誉市民证书” ;2013年,举办世界巡回演唱会《我和我的朋友》。
姜育恒祖籍山东荣成,父母早年间去了韩国,在一个距离首尔100多公里的小镇生活。等到姜育恒上小学时已经家道中落,中学时代姜育恒为了上有中文教育的中学,离开父母外出求学,曾尝试过各种打工方式挣钱贴补家用,送过外卖、做过餐厅服务生、卖过鞋油,还在下雨的时候做过卖伞生意。少年时代的磨炼为他后来回台湾发展打下了基础,“姜育恒能吃苦”在圈内人人皆知。高中时姜育恒爱上音乐,还与同学组成乐团,一直持续到高三母亲病逝后。24岁时,父母早逝的姜育恒到台湾投奔姐姐一家,想找一份和音乐有关的工作,因为没有渠道,一年多都没有找到工作,甚至被迫去日本做服务生打工。后来,他在一家台湾夜总会谋得一份弹贝斯的差事,有歌手唱歌他就做乐手,没有歌星就客串一下主唱。1984年,姜育恒凭借忧郁的气质和独特的唱腔赢得了光美唱片的一纸合约 。
-
- 北龙湖湿地公园,郑州又一个网红打卡地
-
2025-07-09 03:09:38
-
- 争当未成年妈妈?谁给了不良网红搏出位、骗流量的勇气
-
2025-07-09 03:07:23
-
- 二战时期,一个日军旅团为何这么难打?它配置了什么兵力?
-
2025-07-09 01:57:51
-
- 北京大学未名湖—千万人打卡的美景,有啥看点?
-
2025-07-09 01:55:37
-
- “出洋相”,出的是一种什么相?国学小常识
-
2025-07-09 01:53:22
-
- 正新鸡排的鸡肉是真正的吗?原材料货真价实顾客才安心
-
2025-07-09 01:51:07
-
- 杨千嬅49岁生日会!丁子峻携妻子出席,51岁仍帅气像堂弟丁子高
-
2025-07-09 01:48:52
-
- 天津蓟县九山顶雅馨园别墅农家院,农家院集中地的别墅群,还不贵
-
2025-07-09 01:46:37
-
- 苏岩礁与日向礁之争:中韩对峙背后的重要战略价值
-
2025-07-09 01:44:22
-
- 河南人为什么总被黑?揭秘背后的真相和原因
-
2025-07-09 01:42:07
-
- 都教授金秀贤与女团成员Sandara惊爆恋情 粉丝心碎!
-
2025-07-09 01:39:52
-
- 以黑龙江城市命名的舰艇有哪些?黑龙江人都来看看
-
2025-07-09 01:37:37
-
- 第五届“用英语讲中国故事大会”在长沙启动
-
2025-07-09 00:28:05
-
- 一、什么是「躲春」?历史渊源与核心内涵
-
2025-07-09 00:25:50
-
- 末路05:白宝山服刑期间杀害狱友,事后竟能平安无事全身而退
-
2025-07-09 00:23:35
-
- 历史上的今天,宁夏海原大地震:历史伤痛中的坚韧回望
-
2025-07-09 00:21:20
-
- 吴尊透露全家定居中国原因,23箱行李450公斤物品有一半是厨具
-
2025-07-09 00:19:05
-
- 龙飞船(Dragon):世界上第一艘由私人公司研发的航天飞船
-
2025-07-09 00:16:51
-
- 和女孩子聊天技巧,这3个技巧,聊到她心里“美滋滋”
-
2025-07-09 00:14:36
-
- 成都市田家炳中学
-
2025-07-09 00:12:21



骨灰盒下葬红布要不要拿掉(骨灰盒下葬需要盖布吗)
大师王林风流往事,为几十名女星“开光”,李冰冰周迅都是座上宾
海角论坛网页版怎么进入
《姓氏起源》之—吴姓,源出后稷,姬姓同宗,吴国贤人季札为远祖
真黑便与假黑便图片对比区别 真黑便与假黑便图片绿色
未来10大暴利种植药材 :十种不愁销路的中药材品种
卧底3与狼共舞剧情简介 成功铲除制毒团伙的故事
太原头脑哪家最美味?老字号十家店铺全攻略!
成都黑帽吴施蒙9段视频贴吧的简单介绍
「原创」短文|“东北大老娘们”的含义